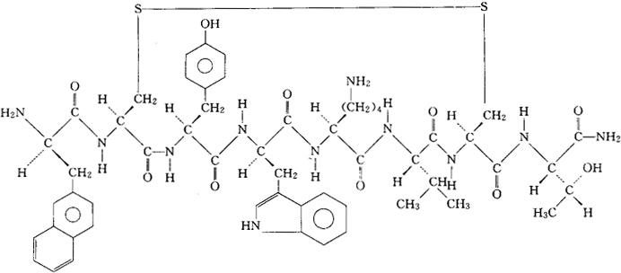
兰瑞肽
C54H69N11O10S2=1096.33 CAS-108736-35-2 3-(2-萘基)-D-丙氨酰-L-半胱酰-L-酪氨酰-D-色氨酰-乙-赖氨酰-L-缬氨酰-L-半胱氨酰-L-苏氨酰胺,环(2→7)二硫化物。 3-(2-Naphthyl)-D-alanyl-L-cysteinyl-L-tyrosyl-Dtryptophyl-L-lysyl-L-valyl-L-cysteinyl-L-threoninamide,cyclic(2→7)disulfide. 抗肿瘤药。 Lanreoride. INN,USAN.  |