网站首页  词典首页


请输入您要查询的字词:

 

字词 西玛津
类别 中英文字词句释义及详细解析
释义

西玛津simazine

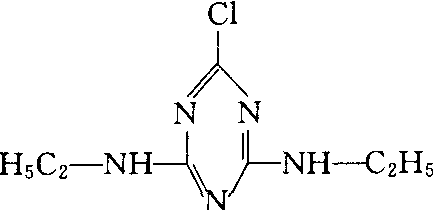
选择性土壤处理、内吸根传、防除一年生杂草的氯三氮苯类除草剂。又名西玛嗪。化学结构式:

瑞士嘉基(Geigy)公司1956年首先开发。
性能 纯品为白色结晶,熔点225~227℃。20℃时水溶解度为3.5毫克/升,微溶于甲醇、氯仿。在微酸或微碱中稳定。在较高温度下能被强酸和碱水解,生成无除草活性的羟基衍生物。不燃、不爆、无腐蚀性。对人、畜毒性小,无刺激性。大鼠口服LD50>5000毫克/千克,鲤鱼TLm为100毫克/升。根系是吸收西马津的主要部位,叶片几乎不吸收,药剂被根吸收后,沿木质部随蒸腾流向上传导到叶片内,传导速度与温度正相关。对根和种子无毒。西马津是典型的光合作用抑制剂,通过抑制希尔反应,抑制糖的形成,即干扰希尔反应中氧释放时的能量传递,进而影响二腺磷(ADP)的还原作用和三腺磷(ATP)的形成。西马津在光下才能起作用,且药效与光照成正比。西马津的作用机制首先是影响RNA的代谢,减少同化产物,进而抑制蒸腾和呼吸作用。
西马津的选择性来自位差选择和生理生化选择。西马津水溶性很小,在土中移动性差,较易杀死在表土中的一年生杂草,处于较深层的作物种子和根系吸不到药剂而安全。生化选择是西马津能安全用于玉米等抗药性作物的主要原因。玉米体内含有多量苯并恶嗪酮,它能将西马津水解成无毒的羟基西马津。另外,玉米、高粱、甘蔗等抗西马津作物体内含有谷胱甘肽-S-转移酶,能将西马津与作物体内的谷胱甘肽轭合成谷胱甘肽西马津而使西马津无毒。
西马津易被土壤吸附而残效期较长。用量高、易对下茬作物产生药害。在高温多雨的地区能加快淋洗,同时又能加强微生物活动,促进其分解。酸性土壤(pH<5.4)促进其分解,碱性土中稳定。
应用 西马津能安全用于玉米、高粱、甘蔗、果园、橡胶园、茶园及野牛草草坪等地。防治一年生杂草和多年生杂草的萌芽阶段。如马唐、狗尾草、稗草、看麦娘、藜、蓼、十字花科和豆科杂草。西马津低用量时可用于烟草、蚕豆、豌豆地除草,用量每公顷0.5~3千克,土壤处理。高剂量(5~10千克/公顷)作灭生性除草剂施用。用于公路、铁路、边防等地,也可用于池塘等防治水下植物和藻类。西马津在干旱地区不易分解,有的隔年对敏感植物仍有毒害。

西玛津simazine

又称西玛嗪。三氮苯类内吸、选择性除草剂。化学名称:2-氯-4,6-双(乙胺基)-1,3,5-三嗪。化学结构式如下。纯品为白色结晶,熔点225~227℃ ,20℃时蒸气压为813.3×10-9Pa,几乎不溶于水,微溶于甲醇、氯仿。性质稳定,在碱和稀酸中稳定,在酸性中加热才水解。主要被植物的根系吸收,通过木质部输导到叶片,抑制光合作用中的希尔反应,导致二氧化碳固定中所需的还原能量缺乏,叶片缺绿饥饿死亡。玉米、高粱、甘蔗等作物可水解或轭合西玛津成无毒物。主要用于玉米田、高粱田、果园、茶园、橡胶园及苗圃,防除稗草、野黍、狗尾草、荆三棱、鸭跖草、苋菜、铁苋菜、藜、蓼、苍耳、龙葵等一年生浅根杂草。对人、畜低毒,大鼠急性口服LD50为5 000mg/kg。在土壤中残留期长,易对敏感的后茬作物发生药害。

随便看

 

离鸟网收录3541549条中英文词条,其功能与新华字典、现代汉语词典、牛津高阶英汉词典等各类中英文词典类似,基本涵盖了全部常用中英文字词句的读音、释义及用法,是语言学习和写作的有利工具。

 

Copyright © 2004-2024 vtrois.com All Rights Reserved
更新时间:2026/4/8 13:18:07