网站首页  词典首页


请输入您要查询的字词:

 

字词 西草净
类别 中英文字词句释义及详细解析
释义

西草净simetryne

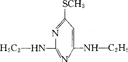
内吸选择性甲硫基三氮苯除草剂。化学结构式:

1955年瑞士嘉基(Geigy)公司首先开发。
性能 纯品为白色结晶,熔点81~82.5℃,22℃时水中溶解度为450毫克/升,溶于甲醇、乙醇和氯仿等有机溶剂,在强酸、强碱或高温下易分解。大鼠口服LD50为1830毫克/千克。西草净可从根部吸收,也可从茎叶进入体内,传导到叶绿体,抑制光合作用,阻止醣类合成和淀粉积累,使杂草饥饿而死。西草净对线粒体呼吸作用的抑制效应大于氯三氮苯化合物。对植物种子发芽和根系基本无影响,而对刚萌发的杂草幼芽防效最好,由于抗药性植物体内的酶,可使其水解和氧化,失去活性而具选择性。
应用 西草净主要用于水稻田防治稗草、眼子草、牛毛草、泽泻、野慈姑、鸭舌草等; 也可用于玉米、麦类、大豆、花生、棉花、草坪等防除一年生禾本科和阔叶杂草。水田每公顷0.6~0.9千克,一般用药土法撒施;旱田每公顷0.7~2.2千克,在播后苗前喷雾土壤处理。西草净与禾草特、2甲4氯等混用,可扩大杀草谱、提高药效。水稻小苗、弱苗易产生药害,应与除稗剂混用,以减少本剂用量。增加安全性; 在低洼积水地,重盐碱地或强酸性土上使用,易受药害。超过30℃易使作物受害,故宜在北方地区使用。

西草净simetryn

三氮苯类内吸、选择性除草剂。化学名称:2-甲硫基-4,6-二乙胺基-1,3,5-三嗪。化学结构式如下。纯品为白色结晶,熔点81~82.5℃,微溶于水,易溶于甲醇、乙醇、氯仿等有机溶剂。在强酸、强碱或高温下易分解。药剂可被根部吸收及茎叶渗透进入叶片,传导到绿色叶片内,抑制光合作用的希尔反应,影响糖类的合成和淀粉的积累。适于稻田使用,防除眼子菜有特效,对早期稗草、瓜皮草、牛毛草等有显著效果。水稻田防除稗草及阔叶草,在移栽后12~18天施药,防除眼子菜移栽后20~30天,眼子菜叶片展开转绿时施药。对人、畜低毒,大鼠急性口服LD50为1 830 mg/kg,雄性豚鼠急性经皮LD50>5 000 mg/kg。

随便看

 

离鸟网收录3541549条中英文词条,其功能与新华字典、现代汉语词典、牛津高阶英汉词典等各类中英文词典类似,基本涵盖了全部常用中英文字词句的读音、释义及用法,是语言学习和写作的有利工具。

 

Copyright © 2004-2024 vtrois.com All Rights Reserved
更新时间:2026/4/7 23:25:13