网站首页  词典首页


请输入您要查询的字词:

 

字词 观察结果的运用
类别 中英文字词句释义及详细解析
释义
观察结果的运用

观察结果的运用guancha jieguo de yunyong

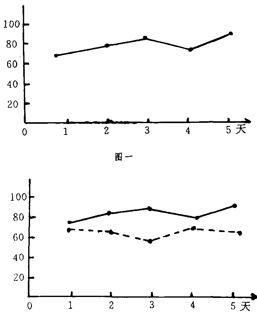
对观察结果进行解释评价,并运用它研究出下一步需观察和改进的问题的过程。下面是某幼儿注意力分散情况(见图一)。针对这一情况,教师采取一系列措施,努力提高该幼儿注意力水平,一周训练后再次观察(见图二)。若教师继续运用第二次观察结果进行训练,需用其它来呈现结果,以免曲线交叉。训练结束时,可将最初情况与最后情况列表比较,使人一目了然地看出对该幼儿注意力分散问题进行矫正的效果。


图二

☚ 观察结果的解释与评价   谈话法 ☛
00001705
随便看

 

离鸟网收录3541549条中英文词条,其功能与新华字典、现代汉语词典、牛津高阶英汉词典等各类中英文词典类似,基本涵盖了全部常用中英文字词句的读音、释义及用法,是语言学习和写作的有利工具。

 

Copyright © 2004-2024 vtrois.com All Rights Reserved
更新时间:2026/4/9 10:30:16