其它数模
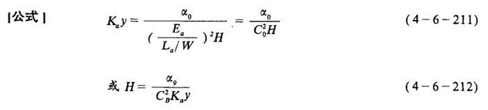
[说明]我国南平纸厂参考的美国西部铁杉的蒸煮数模如下。  式中 Ka——卡伯值 y——纸浆得率(%) Kay——表示木素得率(%),即木素残留率 Ea——初始有效碱用量(%)(对绝于木片)  G——加碱量(kg) W——装锅量(绝干木片)(kg) H——H因子 La/w——液比 La——总液量(m3) C0——蒸煮初始有效碱浓度(g/L) [讨论]由于蒸煮初始有效碱浓度不均匀,有效碱浓度下降较快。因此,测定蒸煮液初始有效碱浓度时误差大,影响数模精度,为此,改为在大量脱木素阶段取样测有效碱(残碱)浓度,然后换算为该阶段开始时的残碱浓度(从已知的残碱——蒸煮时间曲线的斜率计算得出)CB代替C0再应用上述模数计算H因子。即:  用这个式子作为H因子计的数模,就能较好地进行质量控制。H因子计控制方框图如下:  |