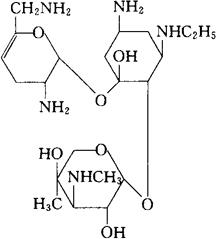
内体霉素
C21H41N5O7=475.60 CAS-56391-56-1 O-3-脱氧-4-C-甲基-3-(甲氨基)-β-L-阿拉伯吡喃糖基-(1→4)-O-[2,6-二氨基-2,3,4,6-四脱氧-α-D油基-己-4-烯吡喃糖基-(1→6)]-2-脱氧-N3-乙基-L链霉胺。 O-3-Deoxy-4-C-methyl-3-(methylamino)-β-L-arabinopyranolsyl-(1→4)-O-[2,6-diamino-2,3,4,6-tetradeoxy-α-D-glycero-hex-4-enopyranosyl-(1→6)]-2-deoxy-N3-ethyl-L-streptamine. 抗生素类药。 乙基西梭霉素,乙基紫苏霉素,奈替比星。 Netilmicin. USAN,USP,MI. 
|