内含报酬率
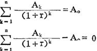
亦称“内部报酬率”、“内在报酬率”。 指投资项目的现金流入量现值与现金流出量现值相等的折现率。换言之,内含报酬率是一种能使投资项目的现金净流入量等于零的折现率,也就是投资项目在其寿命周期内按现值计算的实际投资报酬率。其公式如下:  式中,r为折现率,Ak第k期的现金流入量,A。为原投资额。 内含报酬率有三个十分重要的特性,用公式表示为:  第一个特性是投资项目的现金流入量现值刚好等于现金流出量现值,即内含报酬率为零。第二个特性表明资本投入后,不但没有盈利,而且使原投资不能如数收回,意味著企业发生了亏损,即内含报酬率小于零。第三个特性表明企业除了收回原投资,还发生了一定的盈余,意味著企业投资取得了一定的报酬,即内含报酬率大于零。内含报酬率的具体确定,因各期现金净流入量是否相等而有区别。在各期现金净流入量不均衡的情况下,内含报酬率通过“逐次测试”来确定,反之,内含报酬率通过“现值系数”即原投资额与年金金额之比来确定。 为求内含报酬率的精确值,无论各期现金净流入量均衡与否,往往需采用“内插法”。 |