内标法
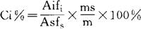
内标法(Interna standard method)是气相色谱和高效液相色谱定量分析方法之一。 是取一纯物质(内标物)适量,加入准确称量m克样品溶液中,并准确称量内标物重量为ms克,混匀、进样。测量色谱图上需定量的i组分的峰面积Ai及内标物的峰面积As,则i组分在样品m中所含的重量mi与内标物重量ms,有下述关系:  但通常定量多是测定i组分在样品中的百分含量   对内标物的要求: ❶ 内标物是原样品中所不含有的组分。 ❷ 内标物的保留时间应与待测组分相近,分离度R需大于1.5。 ❸ 内标物必须是纯度合乎要求的纯物质。 例如:厚朴的苯提取液进行气相色谱分析,用OV101玻璃毛细管为层析柱,氮气为载气,测定温度190~220℃,流速为1ml/min,以α-胆甾烷为内标,进行厚朴酚的含量测定。 |