内涵报酬率
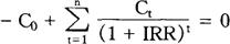
使投资方案净现值为零的贴现率。 用这种报酬率对投资方案的现金流入量与现金流出量进行贴现,能使现金流入量现值总额与现金流出量现值总额相等。其计算公式为:  式中:IRR——内涵报酬率;C0——初始投资额;Ct——第t年现金净流量;n——投资项目寿命周期。 内涵报酬率指标的决策标准是,如果投资项目的内涵报酬率大于企业所要求的最低收益率标准,接受该项目;如果内涵报酬率低于企业所要求的最低收益率标准,放弃该项目。如果多个互斥投资项目并存时,选取内涵报酬率最大的项目。 内涵报酬率被普遍认为是项目投资的盈利率,反映了投资的使用效率,概念清晰明确,易于理解,目前在企业投资决策中得到广泛的运用。其缺点是计算比较麻烦。 |