网站首页  词典首页


请输入您要查询的字词:

 

字词 内装修设计及其防火概说
类别 中英文字词句释义及详细解析
释义 内装修设计及其防火概说

(一)室内装修的定义和范围

室内装修的意义,在法律上或相关法令上,并无明确的定义和权威的解释,目前对装修与装饰之间异同问题在学术界尚存在著激烈的争论。我国《现代汉语词典》上有如下的定义:

装修:在房屋工程上抹面、粉刷并安装门窗、水电等设备。

装饰:在身体或物体的表面加些附属的东西,使美观。

仅从以上定义,我们似乎可以这样理解,装饰所具有的是一种美化作用,而装修除了美化作用之外,更多具有一些功能行为。因此,是否可以这样说,装饰的概念包含不了装修的全部内容,而装修的概念勉强可包含装饰的内容。当然,由于中国文字的多义以及实际工程中的复杂性,对这两个名词定义的争论可能仍继续进行下去,但目前现行国家标准《建筑内部装修设计防火规范》,则是以用装修包含装饰的概念出台的。

从内部装修的字面意义,可以简单地界定出它的范围,即它是指建筑物内部空间的装饰物品或材料之间的相互关系。从建筑防火的角度看,有关国家对建筑内部装修的范围有如下的定义。

美国防火协会的《生命安全法规》第6章称,室内装修包括室内墙壁与天花板装修及室内地板装修。室内墙壁及天花板装修系指建筑物室内暴露出之墙与天花板之表面,包括(但不限于)固定或可移动之墙壁、隔间、柱、梁、天花板等物体之表面。室内地面装修系指建筑物暴露出之地面表面,包括可使用于一般装修地面或楼梯踏面与竖面的覆盖物。

建筑官员及法规行政国际协会的《国际建筑法规》定义:室内装修应包括所有壁板、墙板或其他装修材料。不论它们是在结构体上使用,还是用于音响处理、绝缘、装饰等类似用途,均应包括在内。

国际建筑管理人协会的《统一建筑法规》称,室内墙壁及天花板装修,应指室内壁板、墙板或其他结构上应用或用于装饰、音响修正、表面绝缘或类似目的的装修。传统的室内地面装修,指使用如木材、乙烯石棉地砖、油毡及其他弹性地面覆盖物。

因此从总体上看,建筑室内装修至少包括墙面、地面、天花板这三大基本部分。

抛开人们对装修与装饰这些名词的学术争论,我国现行国家标准《建筑内部装修设计防火规范》所涉及的装修材料包括以下内容:

1.饰面材料

包括在房间和通道墙壁上的贴面材料;房间和通道的吊顶材料;嵌入吊顶中的导光材料;地面上的饰面材料以及楼梯上的饰面材料。另外,还有用于绝缘的饰面材料等。

2.装饰件

包括固定或悬吊在墙上的装饰画、雕刻板、凸起造型图案等。

3.悬挂物件

包括布置在各部位的挂毯、帘布、幕布等。

4.活动隔断

所谓活动隔断是指可伸缩滑动和自由拆装的隔断。

5.大型家具

大型家具是指大型的笨重家具,这些家具一般是固定的,或因其太重而轻易不再搬动的。例如钱柜、酒吧柜台等。另外,有些布置在建筑物内的轻板结构,如货架、档案柜、展台、讲台等也应属大型家具。

6.装饰织物

装饰织物包括窗帘、家具包布、床罩等纺织物品。

(二)内部装修设计的基本特点

建筑内部装修设计是建筑设计的一部分,它是在建筑设计的基础上实现的一种建筑功能的完善和建筑美化的再创造。建筑装修一般分为室外和室内两大部分。室外装修除了考虑建筑自身的美观外,还应充分考虑城市小区整体规划的效果。而内部装修则是人类通过建筑物对自身生存环境的一次再创造。

现代化的建筑已不再是简单的遮风挡雨,它必须要同时满足人类对美和舒适的追求。高档次的装修可以在无形中净化社会的空气,陶冶人的情操,在舒适中给人以精神上的安慰和社会再创造的动力。随著社会的进步和经济的发展,人们对室内生活环境的要求将会向更高的层次、更理想的状态方向发展。

建筑内部装修设计所涉及的内容很多,如环境、心理、社会、色彩等多门学科,它是运用现代的科学技术手段和产品去做一种艺术性处理和达到功能的实现。从总体看,内部装修设计具有以下的特点:

1.功能的特点

现代建筑要满足各种功能上的要求,装修设计首先应考虑建筑物的功能特点。一些建筑物因有特殊的使用要求,所以必须要选择专门的材料对室内空间进行装修处理。比如剧场、影院需要有良好的吸音和回声效果,而科技会堂则应有平易近人、轻松活泼的气氛,以体现出这是可以互学互助、畅所欲言、自由讨论的科学技术场所。对于一些具有爱国主义历史教育的纪念堂、馆,则一般要体现出庄严、肃穆、沉重、朴实的效果。对青年人娱乐的场所,则势必要体现出欢快、热烈、温馨等功能特征。

2.光、色的特点

建筑内的光和色彩的效果,对居住者的观感、情绪和心理都会产生直接的影响。装修材料的色彩搭配一定要和建筑功能相协调,同时又要考虑人的年龄、文化层次、职业等因素。建筑采光包括自然采光(太阳光)和人工采光,如有可能应尽量保证阳光能直入室内,这既保证了人体的健康,又使人始终处于自然环境的氛围之中。当必须经常使用人工照明光时,则应考虑光的强度和角度对人视觉的影响,以及这些光照射到各种室内材料表面所产生的反光效果。

3.装饰、陈设的特点

建筑装饰的最终结果,是以人们的认可度来制定的,装饰设计实质上就是对各种材料及其色彩、图案所做的一种造型组合。建筑装饰档次是不一样的,但又很难用一个尺度去对不同的档次做划分。一般地说,建筑材料对装饰的档次约束很大,但又不意味著昂贵的材料就一定能产生好的装修作品,关键在于恰当地运用室内装饰的设计要素,在所限定的空间内创造一个和空间功能相互协调、美观大方、格调高雅、富有个性的室内环境。室内陈设是人的部分生活必需品,具有外在的造型装饰功能,它本身的造型和装饰性只有和整个建筑空间的装饰效果融合为一体时,才具有美的魅力和震撼人心的效能。

基于以上各点,可以预料,装修环境将向更舒适、自然、豪华、温馨的方向发展。装修设计将作为一个专门独立的专业,在整个建筑设计工程中占有重要的地位。作为装修效果最基本保证的建筑材料将会在形式上更翻新,更多样化。

(三)内装修的火灾特点

建筑物本身是不会发生火灾的,一般火灾都是人为因素引发的。人为的使用不慎、疏忽或故意纵火,是引发建筑火灾的主要原因。从过去的建筑火灾的统计资料可知,由于微小火源而造成严重伤亡及损失的案例,为数极为可观。为进一步防止因微小火源酿成大祸,除了设法降低微小火源出现的频率外,加强内装修材料的防火性是非常重要的一环。

目前在建筑装修中使用的大部分装修材料都是对火十分敏感的普通材料,而绝大多数建筑火灾都是由室内开始扩大蔓延的。因此,室内装修材料的耐燃性已成为火灾是否会造成严重人员伤亡或财物损失的主要原因之一。在图3-2-49中给出了有可燃内装修与没有可燃内装修两种情况下燃烧生成气体的变化过程。

试验表明,可燃性的建筑装修材料在较低的辐射值作用下就会燃烧,而耐燃性的材料则在较高的热量下才会燃烧。另外,可燃性材料一旦受高温即容易释放大量的浓烟和有毒气体,造成人员伤亡,阻碍正常的疏散和外部救援。我国某市百货商场火灾之所以造成80人死亡,主要就是可燃装修材料使用不当所致。室内装修材料对火灾的影响有以下几个主要方面的特点:

1.影响火灾起火至爆燃的速度;

2.通过材料表面使火焰进一步传播;

3.加大了火灾荷载,助长了火灾的热强度;

4.产生浓烟及有毒气体,造成人员伤亡。

图3-2-50给出了材料燃烧后产生危害的示意。

鉴于建筑内部装修材料是十分重要的火灾引发体,为了避免室内空间火势的迅速发展,影响人员的撤离和消防灭火,所以必须考虑装修材料的防火性能。

试验结果表明,当在一个封闭的空间起火时,首先是充满烟雾的热气体上升。由于自然对流和层化作用,热气体在吊顶下部形成了一个水平层并与部分墙体接触,随著烟气层逐渐地加强,最后烟气充满整个空间。随著火势的扩大,火焰窜到附近的可燃家具陈设上,使表面装饰层等起火燃烧。当火焰升高直扑屋顶后,又会沿著水平方向回散,向四壁和下方辐射热量并加速火势扩大。如果顶棚是可燃的,就会被首先引燃。如果四壁表面的装饰材料是可燃的,便会随后出现燃烧。最后火势会席卷可燃的地面材料。图3-2-51给出了上述过程的示意。

由上述过程可见,在一个房间中使装修材料从顶棚至地面燃烧性能要求逐步降低的选材是合理的。

(四)材料燃烧热值的确定

所有材料在燃烧过程中都要释放大量的能量,而这种能量的具体值是通过燃烧热来确定的。燃烧热也称作热值,是指单位质量的材料完全燃烧后释放出来的总热量,更严格地说,是在标准条件下可燃材料和氧化剂反应并生成产物的反应热。

1.理论计算法

物质的燃烧过程就是物质发生化学反应的过程。物质在燃烧过程中放出大量热量,这种热量是燃烧中蕴藏的某种形态的化学能通过化学反应以热能形式释放出来的。因此,可以用热力学和热化学来分析研究物质燃烧过程中的能量变化,从而根据化学热力学原理进行化合物燃烧热的计算。

2.实验测定

采用热化学反应方程计算燃烧热的方法,只适用于单质或纯化合物。而在大量使用的材料中纯物质的应用范围是很小的,尤其在建筑材料中,各种材料的成份是很复杂的,不可能写出明确的化学分子式和化学反应方程式,因而难以用热化学的方法进行燃烧热的计算。因此,大多数材料的燃烧热值都需要通过试验测定。目前最佳的测定方法为氧弹量热计方法。

(五)火灾荷载密度

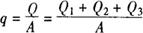
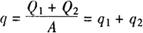
所谓火灾荷载是指著火空间内所有可燃物燃烧时所产生的总热量值。很显然,一座建筑物火灾荷载大,发生火灾的危险性也就越大,需要的防火措施越严。一般地说,总的火灾荷载并不能定量地阐明其与作用面积之间的关系,为此,需要引进火灾荷载密度的概念。火灾荷载密度是指房间中所有可燃材料完全燃烧时所产生的总热量与房间的特征参考面积之比,即火灾荷载密度是单位面积上的可燃材料的总发热量。

火灾荷载可分成三种,即:固定火灾荷载Q1,它是指房间中内装修用的,位置基本固定不变的可燃材料,如墙纸、吊顶、壁橱、地面等;活动式火灾荷载Q2,它是指为了房间的正常使用而另外布置的,位置可变性较大的各种可燃物品,如衣物、家具、书籍等;临时性火灾荷载Q3,它主要是由建筑使用者临时带来并且在此停留时间极短的可燃体构成。

因此火灾荷载可写成:

Q=Q1+Q2+Q3

式中:Q——火灾荷载。

火灾荷载密度可写成:

式中:q——火灾荷载密度。

A——火灾面积。

由于Q3的偶发性和不确定性,所以在常规计算中可不考虑它的影响,则:

式中:q1——固定火灾荷载密度;

q2——活动火灾荷载密度。

(六)材料燃烧的毒气效应

燃烧是一种复杂的物理、化学现象,是一种活跃的氧化作用。火灾中的可燃物在剧烈的燃烧过程中可释放出大量的毒性气体,并成为火灾人员伤亡的第一原因。英法等国学者的研究统计证明,火灾中死亡人数中的70%~80%是烟气中毒所致。

在任何情况下,只要在材料中含有可燃成份,就有可能在火的作用下释放出烟尘和毒性气体。而事实上,不论是什么性质的可燃材料,总是可以用一个总的平衡方程式去表征次完全燃烧的化学反应:

1kg可燃体+rkg空气=(1+r)kg

(CO2,H20,N2,CO……)

式中的r为化学计算中的比值,它因可燃体的性质和燃烧所释放的热量而有很大的变化。

毒气效应通常又称为吸入效应。这种效应是随产品的性质、人体暴露时间、毒气浓度等变化的。这种效应可以使人受到刺激,嗅觉不舒服,丧失行动能力,模糊视线,损伤肺组织和抑制呼吸而死亡。另外,火灾毒气可以使人的行为发生错乱,如一氧化碳可使人出现欣快效应,缺氧则使人会做出无理性的行动。

实际火灾中的毒性危害应为综合作用危害,但是各种因素对人体作用强度是不同的。由于毒性危害对人体产生不同的反应,因此有必要对主要毒性成份进行分别讨论。

1.烟尘的危害

火灾燃烧产生大量的微粒烟尘,人大量呼吸这些烟尘后会直接引起呼吸道的机械阻塞,并致使肺的有效呼吸面积减少而表明出呼吸困难甚至窒息死亡。

2.一氧化碳的危害

一氧化碳是火灾中致人死亡的主要原因,它通过肺被血液吸收。由于血红蛋白对一氧化碳的亲合力大于对氧气的亲合力200倍以上,从而使血液中氧气含量降低致使供氧不足。当空气中一氧化碳量达到13000ppm时,人只需呼吸2~3次,就会失去知觉,并会在1~3min死亡。

3.氰化氢(HCN)的危害

氰化氢是一种毒性作用极快的气性,它可使人体缺氧即人体中的酶的生成受到抑制,正常的细胞代谢受到阻止。当人体血液中氰化物含量达至1μg/ml,就足以显示出氰化物的巨大毒性;当血液中氰化物达到3μg/ml以上时,可致人于死亡。

4.二氧化碳的危害

二氧化碳是火灾空间存在最普遍的气体,尤其是在氧气供应良好的场合。它可以刺激人的呼吸,如3%的浓度就会迫使肺部加倍换气。

5.刺激性气体的危害

火灾中产生的刺激性气体和蒸气可对人的眼及呼吸道产生危害作用。典型的刺激性气体有氯化氢、二氧化硫、氨气等。这些气体通过化学作用刺激呼吸系统和肺,使呼吸速度明显地加快,并严重地损坏肺部的正常功能。

从总体上看,可将所有的燃烧毒气归纳为三大类,即划分为:单纯窒息性气体;化学窒息性气体;刺激性气体。这三类气体的内含和危害作用等指数详列在表3-2-51中。

表3-2-51 主要毒气的浓度和危害

所谓火灾燃烧毒性的研究,就是对有机建材在燃烧或热分解情况下产生的烟尘和气体的成份与作用进行定量、定性的分析。

随便看

 

离鸟网收录3541549条中英文词条,其功能与新华字典、现代汉语词典、牛津高阶英汉词典等各类中英文词典类似,基本涵盖了全部常用中英文字词句的读音、释义及用法,是语言学习和写作的有利工具。

 

Copyright © 2004-2024 vtrois.com All Rights Reserved
更新时间:2026/5/26 22:58:19