网站首页  词典首页


请输入您要查询的字词:

 

字词 再投资退税
类别 中英文字词句释义及详细解析
释义 再投资退税

鼓励外国合营者,用分得的利润,在我国境内再投资所给予的减税优惠措施。

我国《外商投资企业和外国企业所得税法》规定,外商投资企业的外国投资者,将从企业取得的利润直接再投资于该企业,增加注册资本,或者作为资本投资开办其他外商投资企业,经营期不少于5年的,应当自其再投资资金实际投入之日起1年内持载明其投资金额、投资期限的增资或者出资证明,向原纳税地的税务机关申请,退还其再投资部分已缴纳所得税的40%税款(退还税款不包括按所得额附征的地方所得税)。再投资不满5年撤出的,应当缴回其已退的税款。计算退税,外国投资者应当提供能够确认其用于再投资利润所属年度的证明;不能提供证明的,由当地税务机关采用合理的方法予以推算确定。

外国投资者在中国境内直接再投资举办、扩建产品出口企业或者先进技术企业,以及外国投资者将从海南经济特区内的企业获得的利润直接再投资海南经济特区内的基础设施建设项目和农业开发企业,可以依照国务院的有关规定,全部退还其再投资部分已缴纳的企业所得税税款。

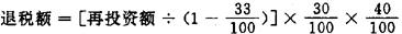
外国投资者直接再投资举办、扩建的企业,自开始生产、经营起3年内没有达到产品出口企业标准的,或者没有被继续确认为先进技术企业的,应当缴回已退税款的60%。申请再投资退税的税额的计算公式是:退税额=再投资额÷(1一原实际适用的企业所得税税率与地方所得税税率之和)×原实际适用的企业所得税税率×退税率。即:

例:某外国投资者在减免税期满后某一年,将从企业取得的利润中的一部分计100万美元,再投资于该企业增加注册资本,即可取得退税额17.91万美元,计算方法如下:

退还的税款17.91万美元,相当于再投资额的17.91%,等于预先得到一笔优厚的利息,因而对于再投资者是有吸引力的。

随便看

 

离鸟网收录3541549条中英文词条,其功能与新华字典、现代汉语词典、牛津高阶英汉词典等各类中英文词典类似,基本涵盖了全部常用中英文字词句的读音、释义及用法,是语言学习和写作的有利工具。

 

Copyright © 2004-2024 vtrois.com All Rights Reserved
更新时间:2026/4/8 9:56:54