网站首页  词典首页


请输入您要查询的字词:

 

字词 贴现
类别 中英文字词句释义及详细解析
释义

贴现tiē xiàn

拿没有到期的票据到银行兑现或做支付手段,并由银行扣除从交付日至到期止这段时间内的利息。1876年葛元煦《沪游杂记》卷二:“春夏之交丝茶当令,沪市银洋载往内地,按日银洋插息涨落不一,常年使用老板,英洋本有贴新。丙子夏又增贴现名目。(贴新今改贴汇。)”

贴现tiē xiànдискóнт; дисконтрование; учёт

货币

货币

钱(钱刀;钱文;钱货;钱眼;钱金;钱缗;钱引;钱币;金钱) 币(泉币;资币) 货(货布;货泉;通~) 金(金泉;泉金) 锾铁板 铜山 铜钿
金钱与货物:财货 资贿 贝错 钱物 贿赂 利赂
金钱、缣帛:钱帛
钱币、谷物:钱谷
财物钱币:财帑
英国的货币单位:
美国货币:美圆 美金 金元
钞票上所示明的金额:票面 额面
票面价值:面额
纸制的货币:钞(钞币;钞儿;钞票;现~;外~) 钱(纸钱) 票子 纸币 楮币 楮卷 凿楮
钱币:钱钞 贯头
可以当场交付的货币:现(现钱;现款;现金;现钞;现缗;贴~;兑~)见钱 见银 见缗 见镪 活钱儿
伪造的货币:伪币 伪钞
极多的货币:百朋 百冯
货币之多:百镒 百溢
货币含金量增加:升值
货币购买力下降:贬值
钱币质量粗劣:悭滥

另见:资金 钱

☚ 货币   古代货币 ☛

贴现

银行的一种特殊放款形式。持票人以未到期的票据(包括期票和汇票)向银行融通资金,银行扣取自贴现日至到期日的贴息后,按票面余额付给持票人的信用活动。期票到期时,银行持票向最初发票的债务人或背书人兑回现款。一定时期的贴现利息同期票票面金额的比率,称贴现率。

贴现discount

客户以未到期票据(包括期票和汇票)向银行融通资金,银行按贴现率扣去自贴现日至票据到期日的利息后,以票面余额付给持票人的信用活动。它是银行的一种放款方式。票据到期时,银行凭票向最初发票的债务人或背书人兑取现款。商业银行把贴现时收下的未到期转向中央银行办理贴现,以取得资金,称为“再贴现”。中央银行在再贴现时确定的利息率称为“再贴现率”。在西方国家,由于各种票据(如商业票据、银行票据、政府票据等)广泛流行,票据贴现成为客户融通短期资金和银行短期放款的主要方式。有的国家还习惯上把上述贴现和再贴现统称为“贴现”。

贴现

持票人向银行转让未到期票据并贴付一定利息以兑取现金的行为。中国规定贴现期一般不超过6个月,贴现利率1988年9月以前按低于同档贷款利率5%~10%确定,1988年9月1日的利率调整方案要求按同档贷款利率上下浮动5%~10%;1989年2月1日的利率调整方案规定,专业银行的贴现利率在当地人民银行再贴现月息的基础上,至少加1.2个千分点。中国国有独资银行(中国工商银行、中国农业银行、中国银行、中国建设银行)1997、1998、1999年年底贴现分别为363.48亿元、338.45亿元、291.15亿元。

贴现

贴现tiexian

资本主义银行的放款形式之一。工商业资本家为了取得现金,以未到期的票据(期票、汇票)向银行融通资金,银行按市场利息率扣取自贴现日至到期日的利息后,将票面余额付给持票人。票据到期时,银行向发票人或背书人(在票据背面按特殊要求签字的人)兑取现金。一定时期的贴现利息同票面金额的比率称贴现率,它一般相当于当时的市场利息率。如一张1000元6个月后到期的期票到银行要求贴现,年贴现率为4%。银行收取的贴现利息=1000×4/100×6/12=20元,将980元现金付给申请贴现人。期票到期,银行向发票人或背书人索取现金1000元。目前,西方国家习惯于将商业银行对工商业的贴现和中央银行对商业银行的再贴现统称为贴现;将商业银行对工商业的贴现率和中央银行对商业银行的再贴现率统称为贴现率。事实上,贴现率根据货币金融市场的状况而自发形成;再贴现率由中央银行确定。贴现使工商业资本家的资本由票据债权形式转变为现金形式,加速了资本周转。同时也会刺激投机活动,加剧经济危机。

☚ 透支   期票 ☛

贴现

为了取得现金,以未到期票据向银行融通资金,银行根据市场利息率核定的贴现率及票据面额,计算扣除自贴现日至票据到期日的贴现利息后,以票面余额付持票人。票据到期时,银行凭票向债务人兑取现款。

贴现

贴现

在实践中,许多投资项目的建设周期或使用周期都不会限于一个年份,而要持续若干年甚至几十年。这样一来,一个项目的收益和成本就形成一系列的数值,即形成所谓由若干年的收益和若干年的成本所构成的“收益流”和“成本流”。不同时间发生的收益和成本不能直接相加,不同时间发生的收益和成本也不能直接相减。这里的关键在于,必须将货币价值与时间因素考虑在内,计算同一数额的货币在不同时点上的不同价值。也就是说,要把不同时间(年度)所发生的成本与收益,按照一定的贴现率,换算成同一时间点上的成本与收益,然后进行分析。在项目的分析与评价中,是把预计的分期收益与成本折算为现值。所谓现值,是指未来某一金额的现在价值。折算现值的公式是:


其中A为终值,P为现值,i是贴现率,n为年数。公式的意思是:按年利率i计算,n年底的A值相当于现在的P值,这个把未来金额换算成现值的过程就是贴现。
求现值的关键在于贴现率。贴现率是影响资金时间价值的重要因素之一。贴现率不同,资金的时间价值也不同,这在成本—收益分析中起着决定性作用。
对公共支出进行成本—收益分析所采用的贴现率和私人经济部门所采用的贴现率有所不同。对公共支出进行成本—收益分析要考虑资源在公共部门和私人部门进行分配所产生的机会成本问题。某些社会资源由公共部门支配,其机会成本相当于如果由私人部门支配这些资源可能会带来的收益。
在实际操作中一般采用公债利率作为贴现率,因为政府所使用的贴现率与公债利息率息息相关,它直接关系到政府筹资所发生的直接成本。但选择公债利息率作为政府支出贴现率时仍应把握好贴现率的高低。如果贴现率过高,很多有效率的工程项目会被否决; 反之,如果贴现率过低,低效率的工程也会被选择,不利于达到社会资源的最佳配置。
一般认为,公债无违约风险,到期都能还本付息,因此,其利率通常低于私人投资的借款利率。有些国家的政府利用各种公债的平均利率作为贴现率。但也有人反对使用公债利息率,认为低贴现率会把资源从高报酬率的私人部门转移到低报酬率的公共部门。因此,提出了用社会机会成本率来代替公债利息率。社会机会成本是一种可能发生的成本。由于社会是由公共部门和私人部门构成,所以,公共支出的社会机会成本率可以通过私人部门的投资回报率来衡量。
☚ 政府采购制度   税收主体 ☛

贴现

旧称“拆息”。以未到期票据向银行售换现金,银行按市场利率,先行扣取贴现日至到期日的利息,而后以票面余额付给持票人。银行以贴现方式收下的票据,可再向中央银行(或其他银行)贴现以取得资金,称为“再贴现”或“重贴现”。贴现这种业务,使工商业资本家的资本,从票据债权的形式转变为现金形式,从而加速资本周转,有助于生产的扩大。在资本主义经济高涨时期,票据贴现也是助长投机和促进生产过剩危险加剧的因素。

贴现Discount

❶银行的一种放款方式。以未到期票据向银行融通资金,银行扣取自贴现日至到期日的利息后,以票面余额付给持票人。
❷以一定的贴现率将未来现金流折算成现值的过程。

贴现

有三方面含义:(1) 在计算资金(或货币)的时间价值时,将未来的一笔金额(终值),按给定的利息率折算成现在的价值(现值)。用于把终值转化为现值的利息率,称为“贴现率”或“折现率”。(2) 商业汇票的持票人在票据承兑后、到期之前为融资的需要,将票据背书转让给商业银行,由商业银行将票面金额扣除一定贴现利息后的余额交付给持票人的行为。办理贴现业务时,银行向客户收取一定的利息,称为“贴现利息”。具体程序是,商业银行根据票面金额及既定贴现率,计算出从贴现日起到票据到期日止这段时间的贴现利息,并将其从票面金额中扣除,余额部分支付给持票人。票据到期时,商业银行持票据向票据载明的付款人索取票面金额的款项。贴现业务形式上是票据的买卖,实际上是信用业务。票据载明的付款人对持票人负债;贴现后,付款人则对购入票据的商业银行负债。票据的贴现实际上是债权债务的转移,即银行通过贴现,间接贷款给票据的付款人。对贴现票据可以转贴现和再贴现。转贴现,是指贴现票据的商业银行在需要融通资金时将已贴现的未到期票据再向同业其他银行办理贴现的票据转让行为。转贴现是商业银行之间的资金融通。再贴现,是指商业银行在需要融通资金时将已贴现的未到期票据再向中央银行办理贴现的票据转让行为。中央银行在再贴现业务中所使用的利率称为“再贴现率”。中央银行的再贴现,是中央银行基础货币的重要投放渠道。再贴现不仅是资金融通的一种形式,更重要的是,它是中央银行调节银根、控制货币供应量、实施货币政策的一个重要手段。(3) 在商业汇票转让的基础上,扩展到未到期债券的转让行为。

贴现

资本主义银行的一种短期放款业务。工商业资本家因故临时急需现金时,便以未到期的票据(包括期票、汇票) 向银行融通资金,申请贴现。银行按贴现利息率扣除自贴现日至到期日的利息,然后将票面余额现金支付给持票人。票据到期时,银行凭票向最初发票的位务人收回现款,这就叫贴现。例如,某资本家以一张三个月到期的票面额为10,000元的期票,要求银行贴现。假定年贴现率为8厘,即8%,银行按贴现率扣除贴现利息200元(即10,000×8/100×3/12=200元),然后将票面余额9,800元以现款支付给该资本家。三个月后期票到期时,银行便向最初发出期票人索回现金10,000元。商业银行还可以把它通过贴现收来的票据,在未到期前向中央银行申请贴现以取得现款,称“再贴现”。票据贴现可使工商业资本家的资本从票据债权形式转化为现金形式,这加速了资本的周转,有助于资本主义生产的扩大。在资本主义经济高涨阶段,它刺激投机活动,又是加剧资本主义经济危机的因素之一。

贴现

持票人以未到期的票据向银行兑取现款,银行从票面额中扣除自兑现日起到到期日止的利息,将余额支付给持票人的资金融通行为。票据到期时,由银行向票据付款人按票面额索款。贴现是银行的放款形式之一。
票据贴现付现额计算公式为:


例如,一张票据面额为10000元,50天后到期,年贴现率为12%,银行向持票人们付现额为:


银行从中扣除的利息为: 10000元-9853元=147元。贴现利息是银行办理贴现时从票据面额中扣除的自贴现日至到期日的利息。贴现利息与票面金额之比就是贴现率,它是由商业银行根据中央银行再贴现率. 市场资金供求状况和所贴现票据的信用度确定的。贴现率虽然也是一种放款利率,但与普通放款利率不同。普通放款利率是以实际贷放额为基础计算的,而贴现是以票面额为基础计算的。普通放款的利息是在放款结束时同本金一同收回,而贴现利息则是在放款时就从票面额中预扣掉,其票面额大于付现额。
贴现

贴现discount

票据的持有人在票据承兑后未到期之前,经银行同意,将票据以背书转让给银行,由银行将票面金额扣除一定贴现利息之余额交付给持票人的行为。贴现是商业银行的放款形式之一。工商企业为了取得现金,以未到期票据向银行融通资金,银行按市场利率以及票据的信誉程度确定某一贴现率,扣除自贴现日至到期日的贴现利息(亦称贴水),然后将票面余额支付给持票人。票据到期时,银行凭票向最初出票的债务人或背书人兑取现款。

☚ 期间   贴现率 ☛
贴现

贴现

持票人以未到期票据向银行兑取现款的资金融通行为。即持票人在需要资金时,以其持有的未到期票据,经过背书转让给银行,向银行兑取现款,银行从票面额中扣除自兑现日起到到期日止的利息,将余额支付给持票人的资金融通。票据到期时,由银行向票据付款人按票面额索回款项。贴现是银行的放款形式之一。
票据贴现付现额计算公式为:


例如,一张票据面额为10000元,100天后到期,年贴现率为9%,银行向持票人的付现额为:


银行从中扣除的利息为10000元-9750元=250元
票据贴现“是一种纯粹的买卖。汇票通过背书转为银行所有,货币则转化为顾客所有;顾客方面已没有偿还的问题。”(《马克思恩格斯全集》第25卷,第485页)票据贴现实际上是一种买卖性质的关系。即持票人拿汇票向银行贴现,并在扣除贴水之后得到一笔现金,在这个场合,他是把一个非流动形式的货币资本卖给银行,而换成了一个流动形式的价值额,也就是把尚未到期的汇票卖掉而换成了现金。因此,票据贴现是不同于信用放款的一种资金融通,是把商业企业凝固于票据中的债权转化为现实货币的一种信用交易。
贴现的特点:
❶体现了商业信用与银行信用相结合的特点。票据贴现的基础是商业信用,银行对商业票据进行贴现,是商业信用向银行信用的进一步转化,将商业信用与银行信用有机地结合了起来。
❷体现了结算与信贷相结合的特点。商业汇票作为一种信用工具,到期凭票付款,但从票款清算角度看,它又是一种结算工具。商业汇票贴现,从票据行为讲,是票据的转让,从银行业务讲,是银行的授信业务,属于信贷范畴。贴现汇票到期后,由贴现银行直接向承兑人结算收回票款,体现了结算和信贷相结合的特点。这一特点把直接对借款人的贷款转变为间接向汇票承兑人的资金融通,把结算工具与信用工具密切结合起来,拓宽了银行结算和信贷的职能作用。
票据贴现与银行一般贷款业务对银行来说都是授信业务,都是银行资金的运用。对企业来说,都是从银行取得所需资金,但是两者又是有区别的:
❶对象不同。一般贷款以借款人为对象或以信用担保,或以物品抵押,银行与借款人之间是一种借贷关系;票据贴现是以票据为对象,银行与持票人之间是一种票据的买卖关系。
❷当事人不同。一般贷款的当事人是银行和借款人及其保证人;票据贴现则是银行、贴现人以及票据上背书的各个关系人。
❸期限不同。一般贷款期限较长,放款到期后常会因客户要求而转期;票据贴现期限较短,票据到期,银行即可收回款项,不会发生转期。
❹收取利息的方式不同。一般贷款利息由银行按照规定,定期计收或在借款人还款时利随本清;票据贴现则是按票面金额和贴现率在贴现的同时预扣贴息。
❺运用方式不同。一般贷款在收回前不能被再次运用;而银行贴进的票据属流动性资产,银行可在票据到期前,持票向中央银行申请再贴现,或到其他银行办理转贴现。贴现、再贴现和转贴现的主要区别在于:贴现反映企业与商业银行之间的信用关系。通过贴现,企业之间发生的商业信用改变为商业银行向企业提供的银行信用,直接扩大了货币流通量。再贴现反映中央银行与商业银行的关系。中央银行办理再贴现,便形成了基础货币投放,通过货币乘数的作用,可以使商业银行信贷规模倍增。转贴现作为商业银行之间同业借款的一种方式,只是将信贷资金在银行体系内部各商业银行之间转移,而不会影响整个社会的货币流通量。
☚ 票据承兑   再贴现 ☛
贴现

贴现

持票人以未到期票据向银行兑取现款,银行从票面额中扣除自兑现日起到到期日止的利息,将余额支付给持票人的资金融通行为。票据到期时,由银行向票据付款人按票面额索款。贴现是银行的放款形式之一。
票据贴现付现额计算公式为:


银行从中扣除的利息为:
10000元-9853元=147元
贴现利息是银行办理贴现时从票据面额中扣除的自贴现日至到期日的利息。贴现利息与票面金额之比就是贴现率,它是由商业银行根据中央银行再贴现率,市场资金供求状况和所贴现票据的信用度确定的。
贴现率虽然也是一种放款利率,但与普通放款利率不同。


普通放款利率是以实际贷放额为基础计算的;而贴现率则是以票面额为基础计算的。普通放款的利息是在放款结束时同本金一同收回;而贴现利息则是在放款时就从票面额中预扣掉,其票面额大于付现额。
贴现放款与银行普通放款有很大区别,表现在:
❶贴现是银行从持票人手中买进未到期票据,持票人向银行卖出票据,二者是买卖关系,票据到期后,由银行持票向票据债务人索取款项,在票据债务人不能付款的情况下,银行保留对卖出票据的原持票人的追索权,除此以外,二者已无任何关系。而在普通放款中,银行与客户是借贷关系,这种关系一直延续到放款结束为止。
❷贴现比普通放款的风险小,银行贴进一张票据,涉及到许多关系人,除票据债务人外, 申请贴现的原持票人,发票人,背书人等对票据均负有连带清偿责任。普通放款中,只有借款人负有偿还贷款的责任。
❸银行贴进的票据期限较短,票据到期,银行即可收回款项,不会发生转期。而普通放款到期后常会因客户要求而转期。
❹贴现利息从票面额中预先扣除,而普通放款利息后付,因此在同样的利息率条件下,贴现实际利息收益比普通放款优厚。
❺银行贴进的票据属流动性资产,商业银行可在票据到期前,持票向中央银行申请再贴现,或到其它商业银行办理转贴现。而普通放款在收回前则不能被再次运用。
☚ 票据贴现市场   再贴现 ☛
贴现

贴现Discount

银行放款业务之一。票据持有人在票据到期之前以贴付一定利息的方式向贴现公司转让票据兑取现金。贴现对持票人来说是出让票据,提前收回垫支于商业信用的资本; 对贴现公司来说,是对持票人提供了银行信用。它是国际贸易中出口商融通资金的一种重要方式。持票人在要求贴现公司对票据进行贴现时,贴现公司按贴现率从票据金额中一次预先扣除贴现息,将其余金额付给持票人。票据贴现后的金额应为:远期票据面额一 (票据面额×贴现率×票据到期期限)。票据必须经过承兑以后才能贴现。

☚ 放款银行   再贴现 ☛
贴现

贴现

银行对持票人的未到期票据 (期票、汇票等) 的收购,是银行放款的一种形式。持票人为了取得现金,以未到期票据向银行融通资金,银行按市场利息率,扣取自贴现日至到期日的利息 (又称贴水)后,再将票面余额付给持票人,票据则归银行所有。票据到期时,银行凭票向债务人收款。

☚ 汇票贴现   双边清算制度 ☛
贴现

贴现Discount

见“贴现率”。贴现市场(Discount Market)短期资金市场的一个构成部分。由贴现公司或银行组成的融资市场。贴现交易凭借的信用工具,有政府库券、短期债券、银行承兑票据与部分商业票据。贴现交易的种类有:信用票据的贴现、商业银行对贴现公司的拆放、中央银行对贴现公司的再贴现。贴现市场在短期资金市场中占有重要地位,它不仅融通资金,满足市场对短期资金的需要,还有利于银行调节头寸多缺,平稳市场银根。

☚ 贴现率   国际资本市场 ☛
贴现

贴现

凭借未到期票据提前兑付现金,并向银行支付一定利息损失的票据兑现行为。贴现率是指一定时期的贴现利息同期票票面额的比率。贴现可以使持有未到期票据的企业家据以换取现金,从而加快资金的周转。在经济繁荣时期,这种贴现刺激金融投机活动频繁,而成为经济可能产生衰退的一个因素。西方商业银行还可以这种票据向中央银行再贴现而取得现金。中央银行则可以提高或降低贴现率的措施来实行“紧缩”或“膨胀”政策,以调节金融市场的变化。

☚ 按劳分配规律   重商主义 ☛
贴现

贴现Discount

在国际市场上,一些远期汇票承兑后,尚未到期,由银行或贴现公司或金融公司从票面金额中扣减按一定贴现率计算的贴现息后,将票款的金额付给持票人,这种以未到期的票据换取现金的做法称为贴现。对银行或金融机构来说,贴现实际上是作了一笔贷款,但预先扣除了利息。对票据持有人来说,有票据就可以贴现,一般的贴现不要抵押品,手续简便,可得到资金融通。

☚ 无追索权背书   退票 ☛
贴现

贴现

急需资金的单位和个人,以未到期的票据向银行融通资金的一种行为。它是银行的一种放款业务。银行在贴现时,不是按票面金额付款给申请贴现人,而是按照贴现率扣除自贴现日起至到期日止的贴现息之后,将票面余额付给持票人,有时还另加收手续费,所以实际付款低于票面金额。

☚ 本票   贴现率 ☛
贴现

贴现

企业或个人将其未到期票据向银行要求融通资金的一种形式,是银行对票据持有人未到期票据的收购。银行对票据办理贴现时,参考市场利息率作出某种贴现率扣除贴现日至票据到期日的贴现利息后,将票面余额支付给持票人,票据归银行所有。例如: 有一张票面为50,000元,利率为7%,90天到期的应收票据,先由企业持有30天,然后按8%的贴现率进行贴现,该企业可实收贴现款50196.67元,计算如下:
本金 50,000元
利息(50,000×7%×90/360)
875元
到期值 50,875元
减: 贴现利息(50875×8% ×60/360) 678.33元
贴现实收款 50196.67元
票据到期时,银行凭票向最初发票人或背书人兑取现款。贴现的特点:
❶贴现的利息银行从贴现的本金中扣除;
❷银行接受贴现,同时就拥有票据的所有权;
❸票据到期时,银行持票向最初发票人或背书人兑取现金。贴现有利于加速资金周转,我国在开放资金市场过程中,要逐步发展贴现业务。另外,在论证分析投资经济效果,特别是对基本建设投资项目进行经济论证和可行性研究中,要运用贴现知识。

☚ 贴水   贴现行 ☛
贴现

贴现discount

银行放款业务之一。票据持有人为了在票据到期之前,以贴付一定利息的方式向银行转让票据兑取现金。银行按市场利息率和票据的信誉程度作出某一贴现率,扣去自贴现日起至到期日的贴现利息,然后将票面余额支付给持票人,到期时银行凭票向发票债务人或背书人兑取现款。票据贴现后的金额应为: 远期票据面额——(票据面额×贴现率×票据到期期限)。票据必须经过承兑以后才能贴现。在资本主义国家,票据贴现是客户融通短期资金和银行短期放款的主要方式之一。票据贴现,可以使工商企业家的资金从票据债权形式转化为现金形式,加速资金的周转,从而有助于生产的扩大; 但在经济高涨阶段,它会刺激投机活动,造成虚假繁荣,成为促使经济危机加剧的一个因素。在我国,随着商品流通信用形式的发展,有部份地区银行也采用贴现形式对顾客放款。

☚ 利息率   贴现率 ☛
贴现

贴现discounting

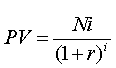
应用利息率推导资本数额的过程,被广泛用来求解与某种未来可取值相等价的现在值。贴现中运用的利息率叫贴现率,它是将某一未来值转换为现在值时所打的一种折扣。贴现的一般公式为:

其中,PV为现在值,Ni为未来第i年的预期收益 (或预期可取值),r为贴现率。举例来说,如果利息率为10%,那么一年后可得的一笔110元收入的现在值为100元。显然,贴现与复利 (Compound Interest) 互为逆运算,复利是从一定数额现值推算与其等价的未来值的方法,其公式为A(1+r)i=Bi式中A为现值,r为利率,i代表年限,Bi为第i年后A的转换值 (未来等价值)。举例来说,将100元现金按利率10%存入银行,一年后此100元便转化为110元。
贴现方法被广泛地应用于评估其支出和收入将分布于若干年间的投资项目,它使得具有不同年限的各种投资项目之间的相互比较成为可能。因此,这一方法对于厂商的实际投资决策具有重要意义。
☚ 边际生产力利息理论   资本化价值 ☛
贴现

贴现

银行放款业务之一。票据持有者在票据到期前向银行融通资金,由银行买入未到期票据的行为。银行根据市场利率以及票据的信誉程度规定一个贴现率,计算出贴现日至票据到期日的贴现利息 (即“贴水”)。贴现利息=票据面额×贴现率×票据到期期限。票据持有者在贴付这种利息之后,即可从银行取得等于票面金额减去贴现利息后余额的现金,票据的所有权则归银行。票据到期时,银行可凭票向发票人兑取现款,如遭拒付,也可向背书人索取票款。贴现对持票人是出让票据,提前收回垫支于商业信用的资本; 对贴现公司或银行是向持票人提供了银行信用。在资本主义国家,票据流通十分广泛,票据贴现成为客户融通短期资金和银行短期放款的主要方式之一。票据贴现可以使工商业资本家的资本从票据债权形式转化为现金形式,加速资本的周转。但是票据贴现在经济繁荣时期会刺激投机活动,造成经济虚假繁荣,最后可能酿成或加剧经济危机。票据贴现按不同的层次分为贴现和再贴现两种,商业银行对工商企业的票据贴现业务称贴现,中央银行对商业银行已贴现的未到期工商企业票据再次贴现,称“再贴现”或“重贴现”。贴现率受市场资金供求状况变化而自发形成,“再贴现率”则由中央银行规定,中央银行可运用再贴现来调节和控制市场货币流通,这是金融市场的一大特点。票据贴现通常在贴现市场上进行。贴现市场即客户以未到期票据向贴现公司或贴现银行办理贴现的场所,它是由贴现公司组成的一种无形的场所。贴现市场的作用在于提供资金,满足市场对短期资金的需要; 提供市场运用短期资金投资的机会; 调剂资金余缺,平稳市场银根等。贴现是国际贸易中出口商融通资金的一种重要方式。我国某些地区银行也采用贴现形式对客户放款,随着商品经济的发展,这种业务会日趋繁荣。

☚ 农副产品收购定额支票   再贴现 ☛

贴现

discount

贴现

discount;discount for cash;discount on exchange
银行~bank discount/期(汇)票~discounting of bills of exchange/可~性discountability/现金流量~discounted cash flow/~公司discount house/~利息discount interest/~率discount rate /~票据discounted bill; discounted notes/~期票discounted bill; discounted promissory notes /~市场discount market/~银行discount bank; discounting bank/~政策discount policy

随便看

 

离鸟网收录3541549条中英文词条,其功能与新华字典、现代汉语词典、牛津高阶英汉词典等各类中英文词典类似,基本涵盖了全部常用中英文字词句的读音、释义及用法,是语言学习和写作的有利工具。

 

Copyright © 2004-2024 vtrois.com All Rights Reserved
更新时间:2026/4/8 20:45:47