网站首页  词典首页


请输入您要查询的字词:

 

字词 资产的资本化
类别 中英文字词句释义及详细解析
释义

资产的资本化

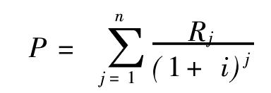
现代企业在资本运营中,以价值形态将其所拥有的和可支配的一切资产(包括有形资产和无形资产),变为可以增值的资本的经营方式。在此经营方式下,要对企业的资产进行价值评估。一种计算资产价值的方法是,对一项资产的未来收入的总和进行贴现,以此来计算该项资产的价值。计算公式是:

式中P为资产的价值,j为未来期限,Rj为未来第j期该项资产所带来的收益,i为贴现率,n为该资产的剩余使用寿命。
资产的资本化

资产的资本化

将一项资产或一个企业计划中的未来收益通过贴现计算为现值的方法。其计算公式为:

其中:P为资本化价值或现值;Rj为第j期间期望净现金流入;i为适用的贴现率;n为剩余有用寿命。

☚ 股份资本   资本公积金 ☛
00000162
随便看

 

离鸟网收录3541549条中英文词条,其功能与新华字典、现代汉语词典、牛津高阶英汉词典等各类中英文词典类似,基本涵盖了全部常用中英文字词句的读音、释义及用法,是语言学习和写作的有利工具。

 

Copyright © 2004-2024 vtrois.com All Rights Reserved
更新时间:2026/4/9 4:49:29