网站首页  词典首页


请输入您要查询的字词:

 

字词 赤霉素
类别 中英文字词句释义及详细解析
释义

赤霉素gibberellins

植物体内普遍存在的内源激素,属贝壳杉烯类化合物。又名九二○、赤霉酸(gibberellic acid)。化学结构式:

1926年,日本黑泽英一确认赤霉素是赤霉菌的分泌物,1935年,日本东京大学薮田贞次郎进行分离提纯获赤霉素结晶。植物体内内源赤霉素到目前已发现有72种,用赤霉菌人工生产的赤霉素是赤霉素3(GA3),生产上用得多的还有赤霉素4(GA4)和赤霉素7(GA7)。50年代,美国阿博特实验室(Abbott labora-tories)、英国帝国化学公司(ICI)和日本协和发酵、明治制药等先后投产。1958年中国科学院、北京农业大学亦投入生产。
性能 纯品为白色结晶,原药含量在85%以上是白色结晶粉末,熔点233~ 235℃,比旋光度[α]19D+86(酒精),溶于酒精、丙酮、甲醇、乙酸乙酯及pH6的磷酸缓冲液,难溶于醚、煤油、氯仿、苯、水,其钾、钠盐易溶于水,遇碱易分解,加热(60℃以上)或氯气则加速分解。
赤霉素对人、畜安全,赤霉素3小白鼠急性中毒LD50>25000毫克/千克,大白鼠吸入无作用剂量为200~400毫克/千克,小鼠无作用剂量为 1298毫克/千克,未见致突变及致肿瘤作用。
作用机制 赤霉素在植物的萌发种子、幼芽、生长着的叶、盛开的花、雄蕊、花粉粒、果实及根中合成,根部合成的向上移动,而顶端合成的则向下移动,运输部位是在韧皮部,其快慢与光合产物移动速度相仿。人工生产的赤霉素主要经由叶、嫩枝、花、种子或果实吸收,然后移动到起作用的部位。它有多种生理作用: 改变某些植物雌、雄花的比例,诱导单性结实,加速某些植物果实生长,促进坐果; 打破种子休眠,提早发芽时间,加快茎的伸长生长及有些植物的抽薹; 扩大叶面积,加快侧枝生长,有利于代谢产物在韧皮部内积累,活化形成层; 抑制成熟、衰老、侧芽休眠及块茎的形成。它的作用机制,可促进DNA、RNA的合成,提高DNA的模板活性,增加DNA、RNA聚合酶的活性和染色体酸性蛋白质,诱导α-淀粉酶、脂肪合成酶、朊酶等酶的活性,抑制过氧化酶、吲哚乙酸氧化酶,增加自由生长素含量,延缓叶绿体分解,提高细胞膜透性,促进细胞分裂和伸长,加快同化物和贮藏物的流动。多效唑、矮壮素等生长抑制剂可抑制植株体内赤霉素的生物合成,它也是这些调节剂有效的颉颃剂。
应用 赤霉素可广泛用于:❶促进坐果及无籽果的形成。番茄、茄子、梨及葡萄,在花或幼果期以10~50毫克/升喷或浸花、果,促进坐果,花前处理形成无籽果。黄瓜、玫瑰香葡萄在花或幼果期,以50 ~200毫克/升喷花或幼果,促进坐果增加产量。
❷增加营养体生长。菠菜、花叶生菜、苋菜,在营养体生长期以10~20毫克/升药液喷洒1~2次,叶片肥大,增加叶菜类产量。矮生玉米、柑桔、葡萄、落叶松苗和芹菜,在生长初期以50~ 100毫克/升药液喷洒2~ 3次,可促进植株生长。
❸打破休眠促进发芽。土豆、大麦、豌豆、扁豆、凤仙花、人参及一些木本树种子,在播种前以1~300毫克/升药液浸种或拌种,时间6~ 24小时,可打破休眠,促进发芽,使出苗齐而壮。
❹延缓衰老和保鲜。蒜薹在采收后,其基部浸在50毫克/升药液中10~30分钟,延缓衰老时间; 柑桔、柠檬、脐橙和樱桃,在绿果后期以5~100毫克/升药液喷洒一次,延缓衰老保鲜耐贮存;西瓜、黄瓜和香蕉在采收前喷洒10~ 50毫克/升药液或采收后浸泡,皆有明显保鲜作用,延长贮藏期。
❺调节开花。菊花在春化阶段,以1000毫克/升药液喷洒1~ 2次,可代替春化阶段,促进早开花。草莓在花芽分化前两周以25~ 50毫克/升喷洒一次,促进花芽分化,开花前两周以10~ 20毫克/升药液喷1~2次,花梗伸长,提早开花。黄瓜一叶期以50~100毫克/升药液喷洒1~2次,诱导开雌花。
❻提高三系杂交水稻制种的结实率。在水稻三系杂交制种中,它可以调节花期,促进父母本抽穗,减少包颈,提高柱头外露率,增加有效穗数、粒数,从而明显提高结实率。一般从抽穗15%开始喷母本,一直喷到25%抽穗为止,处理浓度为25~55毫克/升,1~3次,先用低浓度,后用较高浓度。赤霉素用于刺激生长时,一定要水肥充足,有时与生长抑制剂混用,效果才更为理想。

赤霉素gibberellins

一类属于双萜化合物的植物激素。1926年日本病理学家黑泽在水稻恶苗病的研究中发现水稻植株发生徒长是由赤霉菌的分泌物所引起。1935年日本薮田从水稻赤霉菌中分离出一种活性制品。并得到结晶,定名为赤霉素(GA)。第一种被分离鉴定的赤霉素称为赤霉酸(GA3),现已从高等植物和微生物中分离出70余种赤霉素,分别以GA1、GA2,GA3……表示。
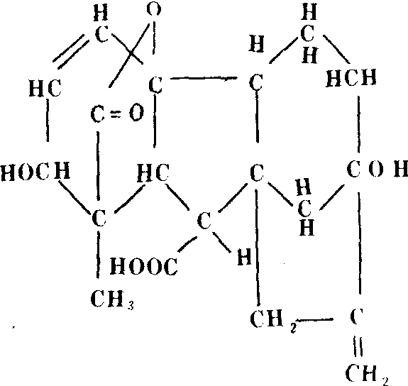
化学结构和性质 GA在化学结构上具有共同的基本骨架,即含有四个碳环的赤霉烷。各种赤霉素之间的差异在于双键、羟基数目和位置不同(见图)。根据碳原子数可分为C19和C20两类赤霉素。GA111、GA16、GA20~22、GA26、GA29~35等的结构中含有19个碳原子,称为C19赤霉素。GA1215、GA1719、GA23~25、GA27~28、GA36~38等是属于C20赤霉素。因为赤霉素都含有羧基,故呈酸性。内源赤霉素以游离型和结合型两种形式存在,有时植物组织内GA含量提高是由于结合型转变为游离型所致。
赤霉素在pH3~4的溶液中最为稳定,pH过高或过低都会使赤霉素变成无生理活性的伪赤霉素或赤霉烯酸。赤霉素的前体是贝壳杉烯,某些生长延缓剂如Amo-1618和矮壮素可以阻碍贝壳杉烯的形成,福斯方-D能抑制贝壳杉烯转变为赤霉素。
形成部位和分布 GA在植物体内的形成部位一般是嫩叶、芽、幼根以及未成熟的种子等幼嫩组织。已经发现不同的赤霉素存在于各种植物的不同器官内。


几种重要赤霉素的化学结构


例如柠檬、广柑的幼果中有GA1、GA9,桃幼果和杏仁中分离出GA32,温州蜜柑的徒长枝内存在GA1,野生苹果的幼果中有GA3、GA4、GA7,竹笋中有GA19。豆科、旋花科和葫芦科的多种植物中所含的赤霉素种类较多。未成熟的种子中GA含量比营养器官中多。
生理效应 赤霉素中生理活性较强、研究最多的是GA3,它能显著地促进植物茎、叶生长,特别是对遗传型及生理型的矮生植物有明显的促进生长的效应。GA3能替代某些种子萌发所需要的光照和低温条件,从而促进发芽。可使长日植物在短日条件下开花,缩短生活周期。GA3能诱导裸子植物中许多杉科、柏科植物的花芽形成;GA4+7则对诱导松科植物的开花有一定效果。GA3具有使瓜类增加雄花数,诱导单性结实,提高坐果率,促进果实生长,延缓果实衰老等作用。赤霉素的很多生理效应是与它能调节植物组织内核酸和蛋白质合成有关,其作用不仅能激活种子中的多种水解酶类,还可诱导新酶的合成。研究最多的是GA3诱导大麦粒中α-淀粉酶形成的显著作用。
应用 ❶促进种子萌发。GA3能解除种子的休眠,提高发芽率。例如桃树种子经100ppmGA3溶液浸种24小时,发芽率可达80%,而对照仅30%。莴苣种子经100ppm GA3浸种,发芽率可由24%提高到70%。
❷加速生长,增加产量。GA3能有效地促进植株茎秆生长及增大叶面积,从而提高产量。例如,用200ppm GA3喷洒甘蔗,可促进甘蔗秆伸长,增加蔗糖产量。菠菜、芹菜、青菜等蔬菜经20~40ppm GA3喷洒可使菜叶增大,菜梗肥嫩。
❸促进开花。GA3能替代开花所需的低温或光照条件。例如,对于茶花、杜鹃花、紫罗兰、三色堇等开花需经低温诱导的植物,用100ppm GA3处理后,能在非诱导条件下开花,对大多数长日性观赏植物,如天竺葵、仙客来、石竹、大丽菊等,用10~100ppm GA3喷洒,可代替所需的长日条件,促进开花。
❹增加果实产量。葡萄、苹果、梨、枣等在幼果期用10~30ppm GA3喷洒,可提高坐果率。
除上述用途外,GA3还可用于防止果皮腐烂。用5~10ppm GA3处理甜樱桃、柑桔等,可推迟成熟期,延长收获期。棉株盛花期经10~20ppmGA3喷洒,能减少蕾铃脱落。马铃薯经GA3浸渍可打破休眠,提前发芽。油菜移栽前用GA3蘸根,能使植株生长加快。用GA3处理大麦种子,能提高麦芽糖产量。

赤霉素gibberellin

具有双萜结构.主要促进节间伸长的一类植物激素。1926年日本病理学家黑泽英一在研究水稻恶苗病中发现。1935年日本薮田贞治郎和佳木渝介首次从水稻恶苗病菌中分离并获得结晶,定名为赤霉素。最早被分离并鉴定的赤霉素为赤霉酸(gibberellic acid,GA3),结构式如下。目前已从高等植物和微生物中分离出 70余种,分别以GA1、GA2、GA3、……表示,都具有赤霉烷的基本结构。以游离型和结合型两种形式存在。叶、芽、根以及未成熟种子的幼嫩组织是赤霉素的主要合成部位。具有促进茎的伸长,诱导长日植物在短日条件下抽薹开花,打破休眠,促进坐果和单性结实以及细胞分裂与分化等生理效应。在农业上常用赤霉素提高无籽葡萄的产量,打破马铃薯休眠,在杂交水稻制种中用于促进抽穗,提高杂交种子产量。在啤酒工业上,用GA3促进大麦种子的萌发。

赤霉素

高效广谱性植物生长调节剂,又称九二○。1926年日本黑泽发现赤霉菌的调节作用。1938年薮田和住木从赤霉菌的分泌物中分离出赤霉素。20世纪50年代后已发现60余种赤霉素。剂型主要有80%结晶粉,40%乳油。主要用于调节植物生长发育。

赤霉素

赤霉素chimeisu

一类植物激素。简称GA。最初是从引起水稻恶苗病的赤霉菌分泌物中分离出来的,之后又从高等植物和真菌中分离出许多赤霉素,目前已有70多种。按照被分离出来的先后次序分别命名为GA1、GA2……。这些赤霉素在化学结构上,具
有共同的基本骨架,称为赤霉烷,不同之处在于:碳原子总数不同(有C19、C20两类),赤霉烷环上取代基、双键数目和位置不同,以及内酯的有无。不同的赤霉素具有不同的生物活性,而不同植物或生长发育的不同过程,如茎的伸长、种子萌发、开花结实等,对不同的赤霉素也表现出不同的敏感性。GA3(即赤霉酸)具有很高活性,是我国在生产上广泛应用的一种。它的纯品为白色结晶,难溶于水,易溶于乙醇、丙酮和酯类。一般植物体内至少有两种或两种以上的赤霉素,不同赤霉素之间可以相互转变。高等植物中的赤霉素主要在未成熟种子、营养芽、幼叶、根尖等部位合成。合成后在体内降解很慢,但易与糖、蛋白质相结合成为结合态,它是赤霉素的一种贮藏形式。赤霉素能刺激茎的伸长生长,特别对遗传上矮化型效果更为显著。此外,还有打破休眠,促进发芽,诱导开花,促进果实生长,诱导α-淀粉酶、蛋白酶的合成等作用。


图542 赤霉烷环



图543 赤霉酸(GA3)的结构式

☚ 生长素   细胞分裂素 ☛

赤霉素

植物激素之一。现已发现50余种,其中45种存在于高等植物中,均具有赤霉烷型结构。在赤霉烷环上,由于双键和羟基的数目、位置的不同,就形成了各种赤霉素,它们分别被命名为GA1、GA2、GA3……等。其中最常见的是GA3(赤霉酸),其分子式为G19H12O6。能刺激茎的伸长生长,诱导α-淀粉酶的形成,打破休眠,形成无子果实,减少棉铃脱落等。

随便看

 

离鸟网收录3541549条中英文词条,其功能与新华字典、现代汉语词典、牛津高阶英汉词典等各类中英文词典类似,基本涵盖了全部常用中英文字词句的读音、释义及用法,是语言学习和写作的有利工具。

 

Copyright © 2004-2024 vtrois.com All Rights Reserved
更新时间:2026/4/7 4:33:13