网站首页  词典首页


请输入您要查询的字词:

 

字词 轮换对称多项式
类别 中英文字词句释义及详细解析
释义
轮换对称多项式

轮换对称多项式lunhuan duichen duoxiangshi

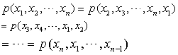
对于数域F上一个多元多项式p(x1,x2,…,xn),把它的n个变数顺次进行调换,如果所得的结果与原式相同,即

那么此多项式叫做关于这些自变数的轮换对称多项式,简称轮换对称式、轮换多项式或轮换式.
显然,对称多项式必为轮换对称多项式;反过来不一定成立.
轮换对称多项式的和、差、积仍是轮换对称多项式.
☚ 偶置换   轮换对称式 ☛
00012095
随便看

 

离鸟网收录3541549条中英文词条,其功能与新华字典、现代汉语词典、牛津高阶英汉词典等各类中英文词典类似,基本涵盖了全部常用中英文字词句的读音、释义及用法,是语言学习和写作的有利工具。

 

Copyright © 2004-2024 vtrois.com All Rights Reserved
更新时间:2026/4/8 21:12:37