网站首页  词典首页


请输入您要查询的字词:

 

字词 辛卜森公式
类别 中英文字词句释义及详细解析
释义
辛卜森公式

辛卜森公式xinpusen gongshi

如图1,一个几何体夹在两个平行平面之间,若用平行于底,且与下底的距离为x的平面去截这一几何体,截面面积A是x的不超过三次的多项式函数,即A=a0x3+a1x2+a2x+a3(a0a1,a2,a3∈R),则该几何体的体积是

图1

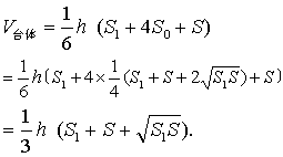
其中h是几何体的高;S1和S分别是几何体的上、下底面积;S0为中截面面积.
上面的公式叫辛卜森公式.

图2


下面说明柱、锥、台、球、球缺等可以用辛卜森公式求体积.
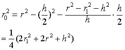
❶柱、锥、台的体积 如图2,用S1,S和A分别表示台体(棱台或圆台)的上、下底面和平行于底面任意截面面积,则有


由二式消H, 得


上式表明A是x的二次函数,所以台体体积可以用辛卜森公式计算.

因为台体的中截面

它代入辛卜森公式,可得到通常应用的台体体积公式


当台体的两底全等时,就变成了柱体(棱柱或圆柱),这时S1=S=S0,将它们代入辛卜森公式,得


这就是通常应用的柱体体积公式.
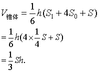
当台体的上底面退缩成一点时,它就变成了锥体

(棱锥或圆锥),这时

将它们代入辛

卜森公式, 得


这就是通常应用的锥体体积公式.

图3



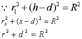
❷球台、球和球缺的体积 如图3,用r1,r和rx分别表示球台的上、下底面半径以及平行于底面且距下底面为x的截面圆半径,设OC=d,则OE=h-d,OF=x-d.


从前两式减去后式, 得

消去d, 得

所以截面面积


上式表明,A是x的二次函数,因此球台的体积可以用辛卜森公式计算.
因为S1=πr12,S=πr2.设r0是中截面圆半径,当x=h/2时,则

所以中截面面积为

将这些值代入辛卜森公式,得到通常使用的球台的体积公式


当r1=0,r=0时,球台变成球体,这时h =2R,S1=S=0,S0=πR2.把这些值代入辛卜森公式,可得到通常使用的球体体积公式

图4


当r1=0,即S1=0时,球台变成球缺.

由图4可知

S=πh(2R-h),S0

把这些值代入辛卜森公式,可得到通常使用的球缺体积公式


至此,可以说辛卜森公式是中学立体几何课本里所介绍的柱、锥、台、球、球缺等几何体的体积公式的总公式,因而人们把它称为万能求积公式.
☚ 拟柱体的体积公式   多面角 ☛
00013076
随便看

 

离鸟网收录3541549条中英文词条,其功能与新华字典、现代汉语词典、牛津高阶英汉词典等各类中英文词典类似,基本涵盖了全部常用中英文字词句的读音、释义及用法,是语言学习和写作的有利工具。

 

Copyright © 2004-2024 vtrois.com All Rights Reserved
更新时间:2026/4/9 6:22:54