网站首页  词典首页


请输入您要查询的字词:

 

字词 决定资金成本大小的因素
类别 中英文字词句释义及详细解析
释义 决定资金成本大小的因素

资金成本的大小取决于某项资金占用时间的长短以及使用该项资金所承担的风险大小。即:资金成本包括资金的时间价值和投资的风险价值这两个因素。

1.资金的时间价值

任何企业都是在一定的时空中,从事经营活动的,企业的收支盈亏的计量和评价都与时间密切相关,都是因时间的不同所带来的差异的反映。因此,在企业的生产经营活动中财产的增减,收支的盈亏价值的高低,都与时间相关。时间就是金钱,时间价值是客观存在的经济范畴。

(1)资金时间价值的含义

在商品经济长期发展的实践中,形成了一种客观的现象。即去年的一元钱不等于今天的一元钱,并且其价值要小于今天的一元钱,即使在没有风险和通货膨胀的情况下,也是如此。例如,你将一元钱存入银行,一年后会取比一元更多的钱。如果你把一元钱借给别人作生意一年后也可能会得到比一元更多的钱(其中包括风险价值)。因此,随著时间的推移,一定量的货币资金在不同时点上具有比以前更多的价值。这种资金周转使用中由于时间因素而形成的差点价值,叫做资金的时间价值。

资金之所以会产生时间价值,是因为资金使用者将资金投入生产经营活动之中,劳动者借助资金所购置的劳动手段(如机器设备)对所购置的劳动对象(如原材料)进行加工,生产出新的产品,创造出新的价值,给资金使用者带来利润,实现价值增值越大,所以资金的时间价值的实质是资金周转使用后的部分增值额。

(2)资金时间价值的表现

在实际经济生活中,资金的时间价值大小通常表现为各种利息率,也可用绝对指标(利息)来表示,它的实际内容是在没有风险和没有通货膨胀条件下的社会平均资金利润率。

(3)资金时间价值的计算

资金成本直接关系到筹集资金的耗费,而资金的时间价值既是决定资金成本的一个重要因素,又是计量和评价企业资金流动的基础,因此,是企业筹资工作不可忽视的问题,而掌握不同时间资金运动的数量关系,即资金时间价值的量化问题,是进行经济核算的重要条件。

A.复利计算

复利计算是一种计算利息的方式,它是与单利计算对应而言的。所谓单利计息是指只对本金计息,而不将以前计算期的利息累加到本金中去,即利息不再生息。单利计息的公式为:

F=P(1+in)

其中:F——本利和, i——利率

P——本金 n——计息年数

而复利计息是指不但对本金计息,而且还得以前计算期所计利息累加到本金中去,再次计息。即本金生息,利滚利。复利计息公式为:

F=P(1+1)n

其中:F——本利和, i——利率

P——本金 n——计息年数

在实际经济生活中复利计息最为普通的两种计算方法为:

a.复利终值计算:复利终值是指资金将来的价值。根据资金现在的价值,按时间顺序计算未来一定时间的资金价值,复利终值每年计息一次。计算公式为:

Fn=P(1+i)n

其中:Fn——n年的终值(本利和)

P——现值(即本金)其它符合含义同上。

例如:某人将100元存入银行,银行存款年利率为10%,每年计息一次,根据以上公式可知:

F1=100(1+10%)=110(元)

F2=F1(1+10%)=100(1+10%)(1+10%)

=100(1+10%)2=121(元)

F5=F4(1+10%)=100(1+10%)4(1+10%)

=100(1+10%)5=161.05(元)

当现值P=1元时,在利率一定条件下所求各期终值称为一元终值,习惯上也叫做复利终值系数查表可得。

在现值(本金)相同时,年利率越高年数越高,其终值就越大。如期初存入银行1元,年利率分别为5%、10%和15%,则各年的终值表现如下图。

复利的计息次数是根据贷款的性质和借贷双方信用程度确定的,一般以一年、一季成一月计息一次,这称为复利的频率,复利频率越快,同一期间的终值也越大,连续复利,是指复利频率无限的复利,在连续复利下,即:每年计息为m次时,其终值计算公式为:

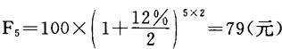
例如:某企业将100元钱存入银行,年利率为12%,每年计息2次,5年后的本利和终值为:

资金时间价值的计算是企业筹资和投资决策时必须要考虑的问题。

例如:某人有资金1200元,拟投入报酬率为8%的投资机会,经过多少年才可使现存资金增加一倍?

F=1,200×2=2,400

F=1,200×(1+8%)n

2,400=1,200×(1+8%)n

(1+8%)n=2

即(F/P,8%n)=2

查“1元的复利终值表”,在i=8%的项下寻找2,最接近的值为:

(F/P,8%,9)1.999

所以:n=9,即9年后可使现有资金增加一倍。

例如:现有资金1200元,欲在19年后使其达到原来的3倍,选择投资机会的最低可接受的报酬率为多少?

F=1,200×3=3,600

F=1,200×(1+i)19

3,600=1,200×(1+i)19

(1+i)19=3

(F/P,i,19)=3

“查1元的复利终值表”,在n=19的行中寻找3,对应的i值为6%,即:

(F/P,6%,19)=3

所以:i=6%,即投资机会的最低报酬为6%,才可使原有资金在19年后达到3倍。

b.复利现值计算,复利现值是指未来一定量资金的现在价值,根据资金在未来时点的价值,逆时间顺序确定以前时点的价值。其现值计算公式为

单利现值:P=F(1+ni)-1

每年计息一次复利现值:P=F(1+i)-n

其中:P为现值;F为未来年终值;i为年利率;m为每年计息次数;n为年数。

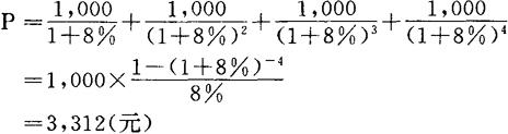
例如,预计在8年后取得终值(即本利和)1,000元;

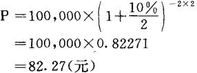
某企业预计在2年后取得本利和100,000元,年利率为10%,问该企业需入多少钱?

若:按单利计算:

P=100,000×(1+2×10%)-1

=83,333(元)

若:按每年计息一次的复利计算:

P=100,000×(1+10%)-2

=100,000×0.82645

=82645(元)

若:按每年计息二次的复利计算:

一般来说,同样的终值,年利率越大或年数越长,则现值就越低,如利率分别为5%、10%、15%时,未来1元钱的现值如下图表示。

当发终值F=1元时,在一定利率条件下所求各期的现值称为一元现值,习惯上也叫做复利现值系数(查表可得)。由于现值计算意味著将来的钱折合为现在的钱。因此,习惯上将现值计算称贴现(折现)计算,将终值计算称复利计算。前者利率叫做贴现(折现)率,后者利率称复利率。

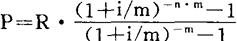
B.年金计算

年金的本意是按定期收入或支出的资金,如每年支付或收取的租金、利息等。广义的理解,年金应定义为在一特定时间内,每期收入或支出等额的款项。根据收入款项的不同时间可分为即付年金,亦称予付年金,指每次付款均在期初。正常年金,亦称普通年金,指每次收付款在期末。永续年金,指无期限支付的年金。

a.年金终值的计算

第一、普通年金的终值

一定期间内每期期末等额的系列现金流量的终值之和,就是普通年金的终值。

令:R为每期年金,n为年数,i为年金利率,m为每年复利次数。

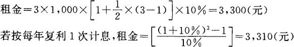
例如:某公司将一房屋出租三年,每年年末收到1000元的租金,问在10%的年利率下,3年末公司能得多少租金。

若按单利计息,

若按每年复利2次计息,

第二:即付年金的终值

一定时期内每期期初等额的系列现金流量的终值之和,就是即付年金的终值。

b.年金现值的计算

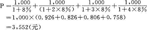
第一,普通年金的现值:

一定期间内每期期末等额系列现金流量的现值之和,叫普通年金现值。

令:P为年金现值,R为每年年金,n为年数,m为每年复利次数,i为年利率。

例如:某企业有一项投资,预计4年内,每年年末可获得收益1000元,年利率为8%,问按单利或每年复利1次、复利2次计算时,企业对该项投资的最高出价各为多少?

若按单利计算时,其最高出价为:

若按每年复利1次计算时,其最高出价为:

若按每年复利2次计算时,其最高出价为:

第二,即付年金现值

一定时期内每期期初等额的系列现金流量的现值之和,就是即付年金的现值。

若按单利即付年金现值计算,

若按每年复利1次的即付年金现值计算,

若按每年复利m次的即付年金现值计算,

2.风险价值

(1)风险的概念

企业在错综复杂、变化多端的环境中从事经营活动,对自己的许多行为的后果是不能予先确定的,或者事先只知其行为所有可能的后果,但不知道这些后果出现的可能性,或者两者事先均不知道,只能对两者作粗略的主观估计,如面对需求多变的商品市场,企业无法事先肯定产销数量;面对变幻莫测的资金市场,股票的价格无法事先确定。可以说,企业的经营决策几乎都是不确定情况下作出的。因此,我们说企业的经营活动存在著风险。

所谓风险,一般可以解释为危险或冒险,它是指某行为出现不利情况的可能性,其可能性的大小就是风险的大小。

企业如果在海洋石油开采方面投资,就可能冒赔本的风险。总之,做某件事只要存在几种可能的结果,就有风险。反之,如果作一件事只能有一个结果,就没有风险。因此风险是与不确定性的概念相联系的。不过严格来说,风险与不确定性情况是有区别的,虽然二者的结果事先都不能肯定,但风险发生的各种可能性(概率),是客观存在的,决策者可事先了解某情况发生的概率。例如:向上抛掷硬币,其结果不是正面就是反面,并且,两者出现的可能性均为50%。而不确定情况的概率是事先无法确切知道的,决策在对这种情况只能进行估计或根据经验来确定一个主观的概率。例如,企业对产品销量的预测,只能根据其历史资料进行推测和估计,其预测的精度取决于决策在经验和占有资料的详略程度。不过在实际上,风险与不确定很难严格区分,因此,往往把二者均视为风险。

(2)风险的种类:

企业在生产经营这种存在的风险,大致可以分为两大类,即营业风险和财务风险。

A.营业风险或经营风险,是指由于企业生产经营而导致的风险。这类风险主要来自市场需求的不肯定性,从而造成企业供、产、销活动的不肯定;也有因成本因素(如材料价格、劳动者情绪所导致的劳动生产率变动、工资等)的不肯定情况引起;也有如生产技术上的变化、经济的不景气,通货膨胀等等,也都会使企业的利润不肯定而产生经营上的风险。

B.财务风险是指由于企业筹措资金而形成的风险。这种风险的大小主要取决于企业筹借资金的方式和时间的长短。时间越长,不确定因素越大,种类越多,风险也越大。经营中,精明的经理一般都善于举债经营,以获得额外利润。例如,企业向外部借入一部分资金(发行债券、银行贷款等),以便在支付利息和缴纳所得税之前的投资报酬率高于举债利率时,给企业带来额外的税后净利,但当税息前投资报酬率低于借款或债券利率时,企业的税后净利将受到额外的损失。这种不利情况的存在,就说明筹借资金也会形成风险。

C.投资风险

企业投资以后,由于某些因素的影响,使投资效果发生优劣变化,从而形成投资风险,投资风险是企业最大的风险,其风险因素也极为复杂。如果材料来源与价格、产品生产方向、市场容量、设备技术水平、企业布局、运输对投资效益均有较大的影响,这些因素的不确定性在一定程度上都会导致企业冒投资风险。投资风险来自不全面、不可靠的经济信息,以及对信息缺乏科学的分析和研究,来自于不切实际的盲目决策。

D.倒闭风险

倒闭是指企业由于无力偿还到期必须清偿的债务而宣告破产。企业由于管理不善,可能无力清偿到期债务而宣告破产的风险,即为倒闭内险。倒闭风险是一种综合风险,如企业举债过多,以致资本结构恶化,可能导致倒闭风险;企业投资失误,利润减少,亏损增加可能带来倒闭风险;企业决策不周,计划不当,尤其是现金流转缺乏计划性,即使在盈利情况下也可能导致破产倒闭。

(3)风险价值的概念

所谓风险价值是指投资者(个人或企业)因冒著风险进行投资而要求的超过货币时间价值的那部分通常按百分率计算的额外报酬。在没有通货膨胀的情况下,投资报酬率就是资金的时间价值和风险价值的总和。因此,风险价值和资金的时间价值成为西方企业财务管理工作中,尤其是进行投资决策时的两个基本概念。

由于投资者对生产只获得相当于资金时间价值的报酬而具有风险的产品不感兴趣。于是,这种产品的价格就会因供不应求而提高,同时,对生产该产品的投资报酬率也相应提高,从而使从事风险业务的投资者获得包括资金时间价值和风险价值的报酬率。因此,由于风险是客观存在的,所以,从事风险经营,必然会获得风险价值。

(4)风险的衡量

风险是指对某事件来说,出现不利情况的可能性,这种可能性是以出现的概率来计量的。其可能性大小,即风险的大小,在实际工作中,经常应用概率论的数学方法,以其“标准差”来衡量的。试举例说明风险计量的过程。

一投资者面临两个投资方案A和B,其投资额相等,它们可能获得的投资报酬率Xi及可能性(概率)Pi如下表:

首先,计算两个方案投资报酬率的期望值。期望值是集中趋势的一种度量,它是指一个概率分布中所有各个可能的结果以各自相应的概率为权数而计算出来的加权平均数,其计算公式为:

根据本例资料两方案投资报酬率的期望值为:

A=100%×0.30+15%×0.40+(-70%)×0.30=15%

B=20%×0.30+15%×0.40+10%×0.30=15%

如果其它情况相同,投资者总是偏向期望值较多的方案,两方案的概率分部的离散程度不同,其表现如下图:

从上图可知,A方案的概率分布离散程度大于B方案,这就意味著A方案的风险大于B方案。概率分布的离散程度常用方差和标准离差来表示。

其次,计算两个方案的方差和标准离差。方差是可能后果值与期望值之差的平方,并以各可能后果的概率为权数计算的加权平均数,其计算公式为:

d2=(100%-15%)2×0.30+(15%-15%)2×0.40+(-70%-15%)2

×0.30=21.675%+0+21.675%=43.35%

d2=(20%-15%)2×0.30+(15%-15%)2×0.40+(10%-15%)2

×0.30=0.075%+0+0.075%=0.15%

标准离差是方根的平方根,也是离散程度的一种度量,其计算公式为:

根据公式计算两方案的标准离差为:

根据计算结果可知,dA2<dB2,因此,dA<dB,说明A方案投资报酬率的概率分布的离散程度大于B方案,A方案比B方案具有更大的风险。

如果概率为正态分布,则实际后果约有68%的可能出现在期望值左右1个标准离差的范围之内约有95%的可能出现在期望值左右2个标准离差的范围之内,约有99%的可能出现在期望值左右3个标准离差的范围之内。因此,根据上例的计算结果可知,A方案有68.26%的可能获得投资报酬率在-50.84%到80.84%的范围内,而B方案有同样可能获得投资报酬率在11.13%到18.87%的范围内。由于两方案的投资相同,其终值也相同,但B方案有把握获得投资报酬率范围小,所以,方案的风险也不大。因此,从风险角度考虑,B方案优于A方案。

在比较投资额相同,而期望值也相同的两个或两上以上方案的风险程度时,我们可以利用标准离差来衡量。但是,当比较方案的投资额或期望值不同时,用标准离差来衡量其各方案的风险程度就不适用了。例如:A、B两个方案,A方案的标准离差为1000元,(投资报酬也可以用绝对额表示),B方案的标准离差也为1000元。如同下图所示。

此时,不能因两方案标准离差相同,就判断两方案具有相同的风险,而应将测定的绝对离散程度改为相对值进行比较,判断其风险的大小。我们采用变异系数来测定两方案的相对离散程度。所谓变异系数,也叫做标准离差率,《它是标准离差与绝对值的比率,其计算公式为:

应用此公式,可求出两方案的变异系数为:

这样就可以判断因9A<9B,说明B方案每元投资的风险大于A方案,则A方案优于B方案。

随便看

 

离鸟网收录3541549条中英文词条,其功能与新华字典、现代汉语词典、牛津高阶英汉词典等各类中英文词典类似,基本涵盖了全部常用中英文字词句的读音、释义及用法,是语言学习和写作的有利工具。

 

Copyright © 2004-2024 vtrois.com All Rights Reserved
更新时间:2026/4/6 19:44:58