网站首页  词典首页


请输入您要查询的字词:

 

字词 过程决策程序图法
类别 中英文字词句释义及详细解析
释义

过程决策程序图法

决策方法之一。用按时间顺序,系统地表现事物全过程的图进行决策。做法是按时间序列的动态方向,不断进行局部调整,使决策向预定目标前进。常用于新产品开发和老产品改造、防止决策实施过程中重大事故发生等场合。

过程决策程序图法

过程决策程序图法Process Design Program Chart

针对那些事态发展的各种结果能够加以预测的问题,确定能够取得期望结果的途径的方法,简称PDPC法。现实中,实现目标的计划很难保证会完全按照预期顺利进行,系统中也常常会出现一些意想不到的故障,有时甚至会酿成重大的事故。PDPC法是一种计划、预测和预防的方法,就是要事先就尽可能地考虑到各种可能出现的情况,提出相应的能够导致最佳结果的处置方案,并随着事态的发展不断进行修正和预测,引导事物向着所希望的方向行进。该方法主要应用于方针目标管理、新产品的研制与开发、预测和预防系统中可能会出现的事故以及过程中可能存在的不良因素等。
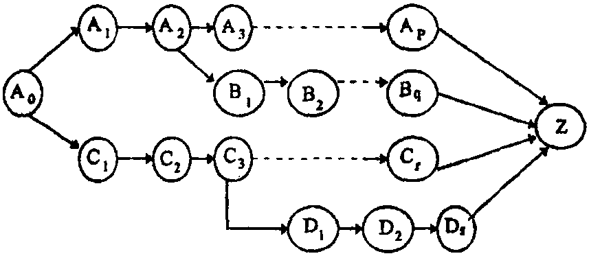
PDPC法的基本思路如图9-15所示。A0是目前的状态,Z是希望达到的目标,最初计划的手段是从A0到A1、A2、……Ap的方式。若预测在A3处可能会遇到困难,则要考虑从A2转到B1,用B1、B2、……Bq的途径来实现目标。若前两套方法都有可能不可行,再考虑C1、C2、……Cr及C1、C2、C3、D1、D2、……Ds的途径来到达目标。同时,在计划实施到任何阶段,都可随时根据变化补充新的手段,提高Z成功的可能性。PDPC法有两种基本形式,其一是沿着初始状态A0至理想状态Z的方向,把可能的进展过程作图表示出来;其二是反向的,即首先给出理想状态Z,然后设法从Z追溯到初始状态A0


图9-15 PDPC法思路示意图


PDPC法大致的实施步骤为:(1)集体讨论所要解决的问题,即确认A0与Z。初步提出一系列实施手段,据此展开讨论;(2)对各子项进行讨论,预测实施结果,若预计可能行不通,则提出另外的方案;(3)根据各事项的内容、紧迫性、工时、难易等,确定实施程序,排列起来,用箭头指向目标状态;(4)确定预测过程终了的日期;(5)在PDPC的具体实施过程中,还应定期召开有关人员会议,根据新发现的情况和问题对PDPC法进行修正、补充,甚至推倒重来。
☚ 矩阵数据分析法   矢线图法 ☛
00000992
随便看

 

离鸟网收录3541549条中英文词条,其功能与新华字典、现代汉语词典、牛津高阶英汉词典等各类中英文词典类似,基本涵盖了全部常用中英文字词句的读音、释义及用法,是语言学习和写作的有利工具。

 

Copyright © 2004-2024 vtrois.com All Rights Reserved
更新时间:2026/4/8 4:32:15