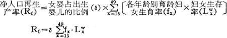
净人口再生产率
指在出生女婴中扣除未成活到她们母亲生育她们的年龄时就死去的那部分,求得平均一个妇女一生生育的能接替其母亲生育职能、参加下一代生育活动的女孩数的一种再生产率。 计算公式为:  净人口再生产率可以说明生育更替水平。生育更替水平是指一批母亲所生育的女儿,活到母亲生育她们时的年龄的人数,正好和这批母亲人数相等的生育率水平。 也就是每一代人口正好补偿了上一代,则净人口再生产率就等于1;若大于1,说明女儿一代活到育龄时人数会超过母亲,人口就有继续增长趋势;若小于1,说明育龄妇女一代不能补偿一代,人口就会趋于缩减。 因此,净人口再生产率表明在现有分年龄生育率和死亡率水平下,人口发展的长期增减趋势。 |