净现值
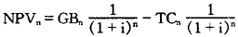
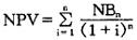
将净收益按一定的折现率折算后所得的现值。一个项目某年度的净现值等于终年度净收益乘以按要求的折现率计算的相应年度的折现因子。其计算公式为:  式中,n为项目年度;i为折现率;NPVn为某项目第n年净现值;NBn为项目第n年的净收益。 由于年度净收益等于年度总收益减去年度总成本,因此,项目年度的净现值也等于年度总收益和年度总成本分别乘以相应的折现因子后的差额,即年度的总收益现值减去总成本现值的差额。其计算公式为:  式中,GBn为项目的年度总收益,TCn为项目第n年总成本,其余同上式。一个项目的净现值就是项目寿命期各年度净现值的总和。其计算公式为:  或者  式中,NPV为项目净现值,其余同上式。净现值大于零的方案可行,净现值最大的方案为最优方案。 |