网站首页  词典首页


请输入您要查询的字词:

 

字词 净现值法
类别 中英文字词句释义及详细解析
释义 净现值法

指利用计算和分析净现值来评价投资经济效益的方法。

如果净现值大于零,表明该方案的投资报酬率大于预定的贴现率。不同的技术投资方案进行比较,净现值越大,经济效益越高。

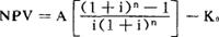
净现值的计算公式为

式中:NPV表示净现值;St表示第t年的现金净收入;K0表示技术方案原始投资额;1表示贴现率;n表示方案有效年数;t表示年份;n表示方案有效期(年)。

如果每年现金净收入相同,可用下式计算:

〔参〕货币时间价值计算

随便看

 

离鸟网收录3541549条中英文词条,其功能与新华字典、现代汉语词典、牛津高阶英汉词典等各类中英文词典类似,基本涵盖了全部常用中英文字词句的读音、释义及用法,是语言学习和写作的有利工具。

 

Copyright © 2004-2024 vtrois.com All Rights Reserved
更新时间:2026/5/27 6:15:19