网站首页  词典首页


请输入您要查询的字词:

 

字词 准备金
类别 中英文字词句释义及详细解析
释义 准备金

指商业银行和其他储蓄机构以库存现金和存放在中央银行的存款的形式持有的款项和资产,是商业银行资产的重要组成部分。

持有该资产的目的,一是为了满足日常业务需要,主要是满足储户提款要求。二是为了满足法定准备金率要求。

法定准备金率指由法律规定的商业银行和其他存款机构在某些存款负债中必须持有的准备金占该存款的最低比率。

早期的银行在其运营中发现,每天既有储户存款也有储户提款,两者相抵差额很小。这意味著并不需要百分之百的以库存现金形式保有存款,只需保有存款的一个很小的比例,即可满足日常业务中储户提款要求。而其他存款可以通过放债或购买生利资产的形式加以运用,这样就大大增加了银行的利润。以库存现金形式保有存款的一个较小比例来满足日常储户提款需要,这就形成了部分准备金制度,存款总额超过库存准备金总额是一场革命性的变革,它意味著银行不再是中性的,而能够创造货币了。

中央银行的一个重要职能就是管理和控制金融机构,其稳定商业银行的一个重要工具就是规定法定准备金率以防止商业银行过度放款,保证其具有足够的准备金满足储户提款要求。

这只是法定准备金率最初的功能。

而现在它首要的作用是为中央银行控制货币供给提供基础。

现在实行中央银行制度的国家一般都实行法定准备金率制度。要明了中央银行何以控制住法定准备金率就能控制住货币供给,就要了解存款创造机制和货币供给机制。

存款创造公式为:

D=R/re

其中R为整个银行系统的准备金,re为准备金率,这个公式表明正是准备金率决定了存款扩张倍数,银行系统的准备金和法定准备金率决定了整个银行系统存款创造所能达到的最高限。

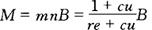
货币创造公式为:

该公式表明货币乘数mn是由现金-存款比率cu和准备金率re共同决定的。这里的准备金率是法定准备金率和超额准备金率之和。

而在基础货币B中,准备金是最主要的组成部分。

这说明正是准备金和准备金率在很大程度上决定了整个经济中的货币供给。因此中央银行控制住了准备金和法定准备金率就抓住了货币供给的牛鼻子。

正是基于这一点,现在各国中央银行所规定的法定准备金率已主要不是决定于储户提款需要,而是高于该需要,目的在于保证商业银行不会持有多余准备金,从而中央银行能够有效控制货币供给。萨缪尔森和诺德豪斯指出:“法定准备金的主要作用不是使存款安全和易于变为现金,或者能见票即付。其至关重要的作用在于使联邦准备制度能控制银行所能创造的支票存款——或者银行货币——的数量。通过规定高的固定不变的法定准备金率,联邦准备制度(Fed)便可以按照所要达到的指标来限制银行货币的增长。”(1985,P.450)

准备金率的高低因银行类型、存款种类、存款期限和数额的不同而不同。一般说来,城市银行的准备金率高于农村银行的准备金率。

活期存款的准备金率高于定期存款和储蓄存款的准备金率。大部分法定准备金率有最高限和最低限。

因此中央银行可以在法定范围内改变商业银行活期存款的准备金率来调节货币和信用供给。如果要突破法定准备金率的上下限,就必须请求立法机构授权。

法定准备金率是货币政策最强有力的工具之一。其政策效果体现在以下几个方面:(1)法定准备金率是通过货币乘数来影响货币供给的,因此它即使变动很小,对货币供给量的影响也很大。

(2)银行系统的准备金和法定准备金率在很大程度上确定了商业银行派生存款的能力。中央银行的其他货币政策工具皆以准备金工具为基础。没有法定准备金率,其他货币政策工具难以正常发挥效力。(3)即使商业银行等存款机构由于种种原因持有超额准备金,法定准备金率的调整也会产生效果。如提高该比率,实际上意味著冻结了一部分超额准备金。(4)由于法定准备金率具有法律效力,能对银行信用产生直接影响,这与公开市场业务和再贴现率对银行信用的间接影响不同。

因此法定准备金率既可以单独起作用,又可以作为公开市场业务和再贴现率的补充。

不过,该政策工具具有明显的局限性。

首先,由于调整法定准备金率产生的效果较强烈,不应作为中央银行日常调节货币供给的工具。

其次,基于同样原因,它的调整对整个经济和社会心理预期会产生显著影响,不宜轻易采用,因此它有固定化倾向。最后,由于不同种类银行和存款的准备金率往往也不同,因此调整准备金率产生的影响也不一致,从而使货币政策的效果难以把握。

一般说来,在法定准备金之外,商业银行总或多或少的持有部分超额准备金,主要目的在于规避净存款流出的不确定性产生的风险。

事实上,法定准备金的强制性在很大程度上意味著这部分准备金已不能用于应付提款。因此商业银行若无一定的超额准备金,净存款流出的不确定性就很可能引起商业银行支付能力不足。

影响超额准备金数量的主要影响因素是:净存款流出的不确定性、市场利率、中央银行规定的再贴现率以及银行间准备拆借贷款利率。后面两个因素之所以影响超额准备金,是因为商业银行有部分准备金是通过向中央银行再贷款或同业拆借形成的,因此商业银行的准备金又可分为借入准备金和非借入准备金。不过,今天由于存在类似于美国的联邦存款保险公司(Federal Deposit Insurance Corporation,简称FDIC)这样的机构以及发达的金融市场和先进的通讯工具,超额准备金已变得很小。

通常认为,实行法定准备金制度的一个间接效果是向商业银行及其储户征税。

原因在于:存放在中央银行的准备金一般是不支付利息的,那么商业银行支付给储户的利率也由此降低了。这实质上意味著商业银行向政府提供了一笔无息贷款。由此政府可以通过规定高的准备金率来弥补财政赤字。

在一些政府赤字和通货膨胀率很高的国家往往法定准备金率也很高的事实支持了这种观点。

基于这种情况,有人提议中央银行可对商业银行的准备金支付利息,但这样显然会引起超额准备金的增加,从而使准备金与货币供给之间的联系放松,导致货币政策难以实施。

参考文献:

黄达主编,1992,《货币银行学》,四川人民出版社。

高鸿业、吴易风,1988,《现代西方经济学》,经济科学出版社。

托马斯·迈耶、詹姆斯·S·杜森贝、罗伯特·Z·阿利伯,1984,《货币,银行与经济》,中国金融出版社。

保罗·A·萨缪尔森、威廉·D·诺德豪斯,1985,《经济学》,中国发展出版社。

J·L·汉森,1983,《货币理论和实践》,中国金融出版社。

R.Dornbusch and S.Fischer,1994,Macroeconomics,McGraw-Hill,Inc.

随便看

 

离鸟网收录3541549条中英文词条,其功能与新华字典、现代汉语词典、牛津高阶英汉词典等各类中英文词典类似,基本涵盖了全部常用中英文字词句的读音、释义及用法,是语言学习和写作的有利工具。

 

Copyright © 2004-2024 vtrois.com All Rights Reserved
更新时间:2026/5/27 19:54:57