网站首页  词典首页


请输入您要查询的字词:

 

字词 连续复利
类别 中英文字词句释义及详细解析
释义

连续复利Continuous Compounding

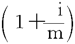
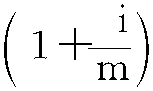
在整个借贷期限内,将借贷期限分割为若干段,前一段按本金计算出的利息加入到本金中,形成增大了的本金,作为下一段计算利息的本金基数,直至每一段的利息都计算出来,经加总得出整个借贷期内的利息。设本金为p0,年利率为i,每年含有m个复利结算周期(如以一个月为一个复利结算周期,则m=12;如以一季度为一个复利结算周期,则m=4),则n年后的本利和为:pnm=p0mn。当复利结算周期数m→∞时,pnp0mn=p0ni=p0eni

随便看

 

离鸟网收录3541549条中英文词条,其功能与新华字典、现代汉语词典、牛津高阶英汉词典等各类中英文词典类似,基本涵盖了全部常用中英文字词句的读音、释义及用法,是语言学习和写作的有利工具。

 

Copyright © 2004-2024 vtrois.com All Rights Reserved
更新时间:2026/4/8 9:53:31