凯恩斯资本边际效率
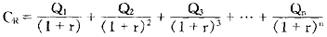
增加一笔投资预期可得到的利润率。它是凯恩斯投资理论中的一重要概念。可以把资本边际效率理解为贴现率,通过这一贴现率能将资本预期收益换算成现期的货币值即资本的成本。简单地讲,如果以Q1,Q2,Q3,…Qn代表资本一系列未来年的收益,以CR代表资本资产的供给价格(即重置成本),以r代表资本边际效率,则有:  由此可见,资本边际效率是由重置成本与预期收益决定的,它与重置成本呈反方向变化(即在预期收益不变的条件下,重置成本越大,资本边际效率越小;反之,重置成本越小,资本边际效率越大);而与预期收益呈同方向变化(即在重置成本不变的条件下,预期收益越大,资本边际效率越大;反之,预期收益越小,资本边际效率越小)。凯恩斯认为,任何一类的资本边际效率都是随投资的增加而递减的。这是因为,价格下跌,收益必然下降;而对这类资本资产需求的增加,重置成本会上升。预期收益的减少与重置成本的上升都会使资本边际效率递减。 |