网站首页  词典首页


请输入您要查询的字词:

 

字词 凯拉花青
类别 中英文字词句释义及详细解析
释义 凯拉花青

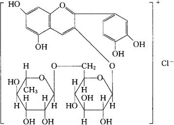
C27H31ClO15=630.99

CAS-18719-76-1

3-[[6-O-(6-去氧-α-L-吡喃甘露糖基)-β-D-吡喃葡萄糖基]氧]-3′,4′,5,7-四羟基黄锌盐氧化物。

3-[[6-O-(6-Deoxy-α-L-mannopyranosyl)-β-D-glucopyranosyl]oxy]-3′,4′,5,7-tetrahydroxyflavylium chloride.

3-O-鼠李葡糖苷基氧氯化氰定。

3-O-Rhamnoglucosyloxycyanidin chloride.

视紫质再生药。

Keracyanin,Keracyanin Chloride.

INN,DCF,USAN,MI.

随便看

 

离鸟网收录3541549条中英文词条,其功能与新华字典、现代汉语词典、牛津高阶英汉词典等各类中英文词典类似,基本涵盖了全部常用中英文字词句的读音、释义及用法,是语言学习和写作的有利工具。

 

Copyright © 2004-2024 vtrois.com All Rights Reserved
更新时间:2026/4/6 14:35:30