网站首页  词典首页


请输入您要查询的字词:

 

字词 凸函数
类别 中英文字词句释义及详细解析
释义 凸函数

凸函数是一类具有良好性质的重要函数,在数学的众多领域中都具有广泛应用,在现代变分学、最优化理论、最优控制、数理经济学和非线性泛函分析等学科中发挥著重要作用,20世纪60年代中后期形成的以凸函数和凸集为基本研究对象的新兴数学分支-凸分析,已成为上述有些学科的重要理论基础和有力工具。

19世纪末20世纪初,哈代(O.Holder)、颜森(J.L.W.V.Jensen)和闵可夫斯基(H.Minkowski)奠定了凸函数理论的基础,闵可夫斯基1892年曾提出凸函数的概念。设是一凸集(即对任意x,,λ∈[0,1]有,fC→R,如果对任意,λ∈(0,1)有

f(λx+(1-λ)y)≤λf(x)+(1-λ)f(y)

则称f是C上的凸函数,如果当x≠y时,严格不等式成立,则称f是C上的严格凸函数。

从几何观点来看凸函数是很直观的:如果f(x)的图象上任意两点连成的弦位于所对应的曲线上或曲线上方,那么实值函数f便是凸函数。

上述定义等价于:对任意x1、x2、…,,对任意λ1,λ2,…,λk∈[0,1],,有

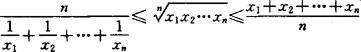
在凸函数发展初期,人们就发现,利用函数的凸性可以简便地证明一些重要不等式,例如,由的凸性可得不等式:

其中

在上述不等式中令,再以代替x(i=1,2,…,n)可得

这就是算术-几何-调和平均不等式。

凸函数理论真正引起重视,是由于20世纪40年代后期和50年代初期冯·诺伊曼(J.Von Neumann)、但泽(G.Dantzig)、库恩(H.W.Kuhn)和塔克(A.W.Tucker)等人对博弈论和数学规划的研究。50年代初,人们对凸函数、凸集和凸锥进行了深入研究,这方面的代表人物是芬凯尔(W.Fenchel)和克利(V.L.Klee),他们的研究为后来凸分析的形成打下了扎实基础。

设f是定义在上的函数,称

epif={(x,α)∈Rn+1|x∈C,α∈R,f(x)≤α}

为f的上图,f的凸性与集合epi f的凸性紧密相关,即有

命题1 f是凸集上的凸函数当且仅当f的上图epi f是Rn+1中的凸集。

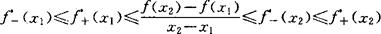
凸函数在其定义域中不一定处处连续或可微,不过在其定义域的内点处一定连续,且在内点处沿任何方向的左、右方向导数都存在,对一元函数还有

命题2 设f为(a,b)上的实值函数,那么f在(a,b)上凸的充要条件是f在(a,b)上的左导数f和右导数f+处处存在,且对x1、x2∈(a,b),x1<x2,有

一般函数可微未必一阶偏导数连续,而芬凯尔1951年证明

命题3 开凸集上的实值可微凸函数必有连续的一阶(偏)导数。

对二次可微函数,拉达玛赫(H.Rademacher)1922年证明

命题4 设f是开凸集上的二次可微函数,则f是C上的凸函数的充要条件是:f的Hessian矩阵在C上处处都是半正定的,即对每个x∈C,有

yT2f(x)y≥0,

凸函数漂亮的极值性质在最优化理论中起著重要作用。

命题5 凸集上的凸函数的任一局部极小值点一定是整体极小值点。

命题6 开凸集上的可微凸函数的极小值点与驻点等价。

凸函数的现代发展和强大威力是和凸分析的形成联系在一起的。凸分析正式成为一门数学分科是以法国的莫罗(J.J.Moreau)1966年的讲义《凸泛函》和美国的洛克菲勒(R.T.Rockafellar)1970年的著作《凸分析》的问世为标志的。这两位数学家对凸函数的性质进行了深入系统研究,把导数(梯度)的概念对凸函数进行推广,提出了次微分(subdifferential)的概念。设C是非空凸集,f:C→R是凸函数,向量ξ∈Rn称为f在x∈C的次梯度,如果对一切y∈C,均成立

f(y)≥f(x)+ξT(y-x)

这个不等式有一个简单的几何意义:仿射函数h(y)=f(x)+ξT(y-x)的图象是上图epi f在(x,f(x))点的非垂直支撑超平面。

凸函数f在x的所有次梯度的集合称作f在x的次微分,记作可能是空集、可能只包含一个向量,也可能包含无穷多个向量。

如果不是空集,则称f在x是次可微的。凸函数在其定义域的内点总是次可微的,反过来,设f是定义在非空凸集C上的实值函数,如果f在C的任一内点处次可微,则f在C的内部是凸的。

因此,Rn上的实值函数是凸函数的充分必要条件为处处存在次梯度,这一点是M.S.Bazaraa和C.M.Shetty在1976和1979年出版的两本书中明确指出的,它反映了函数的凸性与次可微性的密切关系。凸函数f在x可微的充要条件是:(x)恰好只含单个向量ξ,并且,这时ξ=▽f(x)。

次梯度的特性可以用方向导数来表征,即有

其中是f在x点沿方向h的右方向导数。

莫罗和洛克菲勒发现了次微分的一些很好的性质,如:

(1)是闭凸集。

(2)

(3)若f1、f2是凸集上的凸函数,且C至少有一个内点,则有

(4)f在x*达到整体极小值的充要条件是

第(4)条可以看作微分学中费尔马(Pierre de Fermat)定理的推广。

需要说明的是,一般凸分析方面的文献中,都允许凸函数在扩充的实数集RU{±∞}上取值,为叙述方面起见,我们只考虑在实数集R上取值的情形。

与次微分紧密联系的是共轭函数的概念,这是由芬凯尔1949年引进,又由洛克菲勒70年代前后发展完善的。

这一概念是力学和变分学中Legendre变换的推广。设f是Rn上的实值函数.其共轭函数定义为,ξ∈Rn

由定义可知

f(x)+f*(ξ)≥ξTx,

这叫做Young-Fenchel不等式。

同样,还可以定义f的二次共轭

,x∈Rn

共轭函数总是凸函数。一般地有f* *≤f,而当f在x次可微时,有f(x)=f* *(x)。

f=f* *当且仅当f是下半连续凸函数。

共轭函数看起来是一个抽象的数学概念,它却有直观的几何意义和明确的经济解释,-f*(ξ)可以看成是f的上图epi f的支撑超平面(一元函数时称为切线)在纵轴(f轴)上的截距。

设x为产出丛,ξ为产出价格系,f(x)为成本函数,那么利润的最大可能值作为价格的函数由共轭函数f*(ξ)给出。类似成本和利润这样的对偶关系在微观经济分析中还很多。

次微分与共轭函数之间的关系由下列结果可以看出

当f是下半连续凸函数时,还有更对称的关系式

虽然共轭函数的定义中不必要求f是凸的,但对凸函数意义较大,它是研究凸规划的对偶性和稳定性的有力工具,这方面洛克菲勒在60年代后期和70年代给出了一系列新颖而深刻的结果,并具有很大的潜力。

1986年,Hiriart-Urruty利用共轭函数给出了极值的一个充要条件:设f是Rn上的可微函数,则x*∈Rn是f的极小值点的充分必要条件是:(1)▽f(x*)=0,(2)f* *(x*)=f(x*),在此情况下,f* *在x*是可微的且▽f* *(x*)=0.

目前凸函数及凸分析的发展已比较成熟,而其局限性也很明显。

于是近年来,对广义凸函数、非凸函数、非凸分析或非光滑分析的研究方兴未艾,成为热门课题,而凸分析的巨大成功对这一研究一直起著鼓舞和示范作用。此外,近年来对凸集值映射的研究也取得一定进展,但其重要性和实际影响还未被充分认识。

。【参考文献】:

1 Fenchel W. Convex cones, sets and function. Lecture notes, Princeton University, Princeton, N. J. 1951

2 Rockafellar R T. Convex analysis. Princeton University press. Princeton, N. J,1970

3 Avriel M. Nonlinear programming: analysis and methods. Prentice-Hall,Inc,1976

4 Bazaraa M S, Shetty C M. Foundations of optimization, Berlin, Springer (Lecture notes in economics and mathematical systems, 1976,122)

5 Hiriart - Urruty J B. American Mathematical Monthly, 1986,93(7):556~558

6 史树中,凸分析.上海:上海科学技术出版社,1990

7 刘三阳.西安电子科技大学学报,1990,17(1)∶63~69

(西安电子科技大学博士生导师刘三阳撰;游兆永审)

随便看

 

离鸟网收录3541549条中英文词条,其功能与新华字典、现代汉语词典、牛津高阶英汉词典等各类中英文词典类似,基本涵盖了全部常用中英文字词句的读音、释义及用法,是语言学习和写作的有利工具。

 

Copyright © 2004-2024 vtrois.com All Rights Reserved
更新时间:2026/4/7 9:21:03