网站首页  词典首页


请输入您要查询的字词:

 

字词 道和
类别 中英文字词句释义及详细解析
释义

道和dào hé

(字)刘穆之,南朝宋人,累官尚书右仆射。


道和dào hé

(字)周抚,晋代人,累进镇西将军。


道和dào hé

(字)郑孝穆,一字道邕,北周人,迁中书令。


道和dào hé

(字)唐邕,北齐人,官中书监尚书令。


道和dào hé

(字)袁质,晋代人,官东阳太守。

道和

道和

季子安“意懒心慵”套



其二 叠字体 无名氏 《小尉迟》

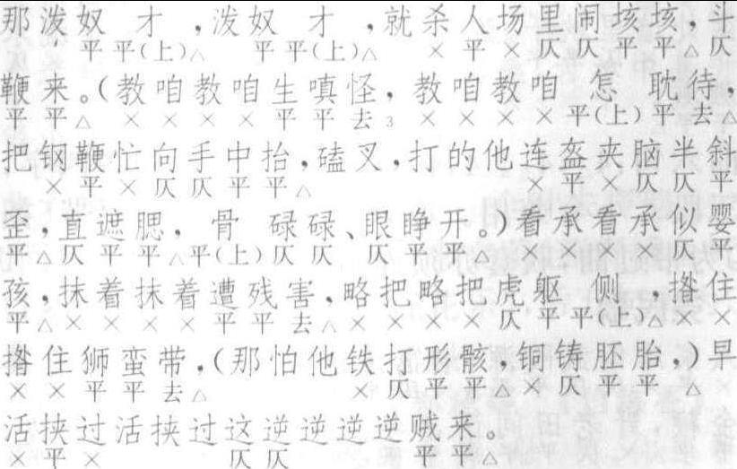
全曲九句:2,2,7,3。7,7,7,7,7。此章必须增句,增句有二处:一在第四句下,增句句式有七字、五字、三字及六字折腰句不等;一在第八句下,增四字句二至四句。偶有不增者如尚仲贤《气英布》。增句每句均须叶韵;杨景贤《西游记》第十九出增四字句三句,另叶别韵。首二句本格二字,但作者多加衬为三字或四字;此两句多叠用。第四句三字可多作一句,如上引季曲;第八句下亦可多作一个七字句,如《气英布》。凡剧套均用叠字体,即第五、六、七、八句及第四句下所增七字句的首二字叠用,以加强舞台气氛。一作〔道合〕。亦入〔正宫〕。〔道和〕例接〔柳青娘〕之后,以致互相误题,如杨景贤《西游记》第十九出。
☚ 柳青娘   剔银灯 ☛
00007449
随便看

 

离鸟网收录3541549条中英文词条,其功能与新华字典、现代汉语词典、牛津高阶英汉词典等各类中英文词典类似,基本涵盖了全部常用中英文字词句的读音、释义及用法,是语言学习和写作的有利工具。

 

Copyright © 2004-2024 vtrois.com All Rights Reserved
更新时间:2026/4/7 19:31:59