网站首页  词典首页


请输入您要查询的字词:

 

字词 函数图象变换
类别 中英文字词句释义及详细解析
释义 函数图象变换

1.平移变换:

2.对称变换

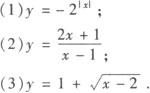
例 画出下列函数的图象

解 (1)y=2|x|是偶函数,故关于y轴对称,又因为y=f(x)与y=—f(x)关于x轴对称,所以再作y=2|x|关于x轴对称的图象即得y=—2|x|的图象,其图象如下图.

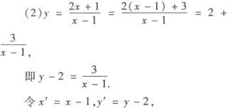
则利用的图象可得到原函数的图象.

将原点平移到点(1,2),在新系中作y′=的图象,即得如下图.

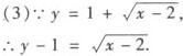
利用平移公式将原点平移到(2,1)点,在新系中作的图象,便得在原系中的图象,如下图.

或:将的图象沿x轴右移2个单位,再上移1个单位即得.

随便看

 

离鸟网收录3541549条中英文词条,其功能与新华字典、现代汉语词典、牛津高阶英汉词典等各类中英文词典类似,基本涵盖了全部常用中英文字词句的读音、释义及用法,是语言学习和写作的有利工具。

 

Copyright © 2004-2024 vtrois.com All Rights Reserved
更新时间:2026/4/8 7:27:08