网站首页  词典首页


请输入您要查询的字词:

 

字词 函数在开区间(a,b)内的导数
类别 中英文字词句释义及详细解析
释义 函数在开区间(a,b)内的导数

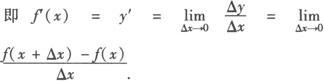
如果函数y=f(x)在开区间(a,b)内每一点处都可导,就说f(x)在开区间(a,b)内可导,这时,对于开区间(a,b)内的每一个值x0,都对应著一个确定的导数f(x0),这样就在开区间(a,b)内构成一个新的函数,我们把这一新函数叫做f(x)在区间的导函数,记作f(x)或y′,

【说明】导函数也简称导数,当x0∈(a,b)时,函数y=f(x)在点x0处的导数f(x0)等于函数f(x)在开区间(a,b)内的导数f′(x)在点x0处的函数值.

随便看

 

离鸟网收录3541549条中英文词条,其功能与新华字典、现代汉语词典、牛津高阶英汉词典等各类中英文词典类似,基本涵盖了全部常用中英文字词句的读音、释义及用法,是语言学习和写作的有利工具。

 

Copyright © 2004-2024 vtrois.com All Rights Reserved
更新时间:2026/4/7 4:19:08