网站首页  词典首页


请输入您要查询的字词:

 

字词 函数极限的四则运算
类别 中英文字词句释义及详细解析
释义 函数极限的四则运算

这些法则对于x→∞(x→x0+,x→x0,x→+∞,x→—∞)的情况仍然成立.

例1 求下列函数的极限:

解 以上各题所求极限,均属或∞—∞型,需进行恒等变形约去“0”因子,或化为可进行四则运算的极限.

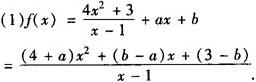
例2 设,求分别满足(1)
❶ 
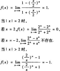
❷ 的实数a,b的值,(2)讨论的值的情况.

解 对于“”“∞—∞”型的极限,不能直接运用函数极限四则运算法则需先恒等变形,然后再进行四则运算.

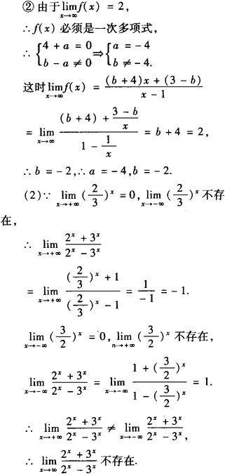
在数列极限中n→∞只表示n→+∞,在函数极限中n→∞表示,n→+∞和n→—∞两种变化趋势,故在研究或讨论“x→∞时,f(x)的极限”时需分别讨论x→+∞和x→—∞两种变化趋势下的f(x)的极限.

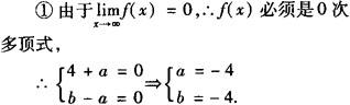
例3 求函数的定义域并画出其图象.

解 当|x|<2时,

由此可见,f(x)定义域为{x|x≠—2,x∈R}

图象如下:

随便看

 

离鸟网收录3541549条中英文词条,其功能与新华字典、现代汉语词典、牛津高阶英汉词典等各类中英文词典类似,基本涵盖了全部常用中英文字词句的读音、释义及用法,是语言学习和写作的有利工具。

 

Copyright © 2004-2024 vtrois.com All Rights Reserved
更新时间:2026/4/7 18:09:44