函数极限的运算法则
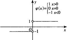
如果 a, ,那么  【说明】 在进行函数极限的运算时,还经常用到下面的结论: (1) (C是常数);  一个重要结论:  例1 讨论下列函数当x→+∞,x→—∞和x→∞时的极限.  解 根据函数f(x)当x→+∞,x→—∞,x→∞时极限的定义,观察函数值变化的趋势,结合函数图象得出的结论. (1)由下图可知, 不存在, , 不存在.  (2)由下图可知, , , 不存在.  (3)由图可知, 0,∴ .   当a,b取何值时, 存在,其值为多少? 解 x=0是此分段函数的分界点,而 存在的充要条件 与 都存在并且相等∴ . ∴当b=2,a取任意常数时, 存在,其值为2. 例3 研究函数 在x=0处的左、右极限. 解 由于x<0时, . 所以当x→0—时,f(x)→—1, 故 而当x>0时, , ∴当x→0+时,f(x)→1, 因此, . 由于 所以 不存在. 探索延拓创新 例4 求证: . 解 对照 的定义进行证明. 注意到当x>0时,有  |