网站首页  词典首页


请输入您要查询的字词:

 

字词 刀口系数的计算
类别 中英文字词句释义及详细解析
释义 刀口系数的计算

【说明】 刀口系数是用来表示打浆方式的量,通常其值在5以下。当刀口系数γ值为5时,表示打游离状浆;γ值为2.5时.打半粘状浆;γ值为2时,打粘状浆;γ值等于或小于1时,打特别粘状浆。

【公式】

式中 γ——刀口系数(1/cm2)

其它同上

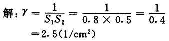
【例】 已知某打浆机飞刀片厚8mm,底刀片厚5mm,求刀口系数。

表明该打浆机可用于打半粘状浆。

随便看

 

离鸟网收录3541549条中英文词条,其功能与新华字典、现代汉语词典、牛津高阶英汉词典等各类中英文词典类似,基本涵盖了全部常用中英文字词句的读音、释义及用法,是语言学习和写作的有利工具。

 

Copyright © 2004-2024 vtrois.com All Rights Reserved
更新时间:2026/4/7 10:43:00