网站首页  词典首页


请输入您要查询的字词:

 

字词 分式的乘除法法则
类别 中英文字词句释义及详细解析
释义 分式的乘除法法则

两个分式相乘,把分子相乘的积作为积的分子,把分母相乘的积作为积的分母.

两个分式相除,把除式的分子和分母颠倒位置后,再与被除式相乘.

注意 1.用数学符号表示:b/a×d/c=

2.分式除法中,除式是整式时,看作分母是1的式子.

3.乘除法属于同一级运算,必须严格按从左到右的顺序计算,切记不可先乘后除.

4.分式乘除法注意结果的符号.

5.分式运算的结果通常化成最简分式或整式.

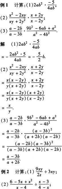
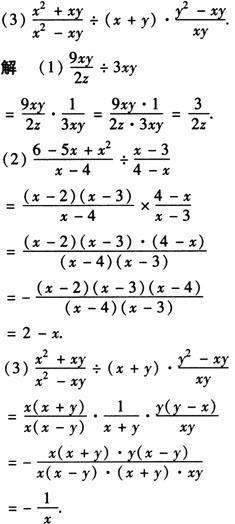
[解析] 分式乘除法的一般运算步骤:

(1)如果含有除法运算先将除法转化成乘法;

(2)如果分子、分母中有多项式,先将多项式分解因式;

(3)约去分子、分母中的公因式;

(4)将约分后的分子、分母分别相乘.

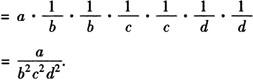
例3 阅读下面的解题过程,然后回答问题.

解 原式=a÷1÷1÷1=a.

上面的解题过程有没有错误?如果有错误,错在何处?并给出正确答案.

解 有错误.

因为乘除属同级运算,应按从左到右的顺序计算.

正确解法如下

原式

随便看

 

离鸟网收录3541549条中英文词条,其功能与新华字典、现代汉语词典、牛津高阶英汉词典等各类中英文词典类似,基本涵盖了全部常用中英文字词句的读音、释义及用法,是语言学习和写作的有利工具。

 

Copyright © 2004-2024 vtrois.com All Rights Reserved
更新时间:2026/4/7 8:40:42