网站首页  词典首页


请输入您要查询的字词:

 

字词 分式的混合运算
类别 中英文字词句释义及详细解析
释义 分式的混合运算

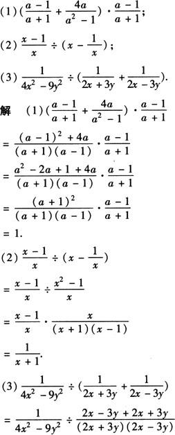
按照运算顺序,先算乘除,后算加减,有括号的,先算括号里面的.

注意 1.运算时注意处理好每一步的符号问题.

2.除法注意转化成乘法,用约分来计算.

3.计算结果要化成最简分式或整式.

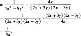
例 计算:

随便看

 

离鸟网收录3541549条中英文词条,其功能与新华字典、现代汉语词典、牛津高阶英汉词典等各类中英文词典类似,基本涵盖了全部常用中英文字词句的读音、释义及用法,是语言学习和写作的有利工具。

 

Copyright © 2004-2024 vtrois.com All Rights Reserved
更新时间:2026/4/7 2:14:35