分析力学基础
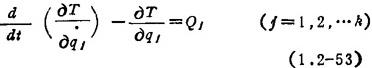
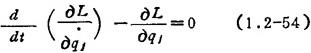
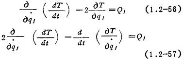
3.5.1 分析力学的几个重要概念 约束和约束方程:对质点的位形和速度预先规定的限制条件称为约束。约束条件的数学表示式则称为约束方程。约束方程的一般形式为 , , ,t)=0 f(x1,y1,z1, 根据约束的具体形式,约束又可按不同的方法分成不同的两大类,见表1.2-24。 表1.2-24 约束的不同分类法 3.5.3 第二类拉格朗日方程 对于理想完整约束系统,拉格朗日方程为  式中 T为系统的动能的广义坐标及其导数的表达式;qf为系统的第j个广义坐标;k为系统的自由度数;Qf为系统对广义坐标qf的广义力。 主动力为有势力时的拉格朗日方程为  式中 L=T-V,为系统动能与势能之差,称为系统的拉格朗日函数,或能势。 拉格朗日方程可以用来建立系统的不含理想约束反力的运动微分方程。 3.5.4 尼尔森方程 对系统动能T的运算存在以下交换关系:  其中qj、qj分别为系统的广义坐标和广义速度。 由以上关系,可得到与拉格朗日方程完全等价的两种型式:  其中式(1.2-56)称为尼尔森方程。 |