网站首页  词典首页


请输入您要查询的字词:

 

字词 分类抽样误差
类别 中英文字词句释义及详细解析
释义 分类抽样误差

分类抽样是把全及总体的所有单位划分为几个类型组,然后在各个组内进行抽样。

通常,各组的抽样数目是根据每组的单位数在全及总体中所占比例大小来确定的。这种方法也称之为分类比例抽样法。其计算公式为:

1.当测定平均数时:

(1)重复抽样

式中:Sσl表示各组抽样方差;n1表示各组抽样单位数;表示各组方差的平均数;μ表示抽样平均误差。

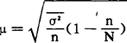
(2)不重复抽样

式中:N表示全及总体单位数。

2.当测定成数时:

(1)重复抽样

式中:表示各组中交替标志的方差;ω表示各个组的频率。

(2)不重复抽样

随便看

 

离鸟网收录3541549条中英文词条,其功能与新华字典、现代汉语词典、牛津高阶英汉词典等各类中英文词典类似,基本涵盖了全部常用中英文字词句的读音、释义及用法,是语言学习和写作的有利工具。

 

Copyright © 2004-2024 vtrois.com All Rights Reserved
更新时间:2026/4/7 3:28:54