网站首页  词典首页


请输入您要查询的字词:

 

字词 配伍组资料的秩和检验
类别 中英文字词句释义及详细解析
释义
配伍组资料的秩和检验

配伍组资料的秩和检验

配伍组(即随机区组)设计的实验数据,如不能满足方差分析的正态性和方差齐的要求,则可用Friedman秩和检验来推断各处理组(总体) 间的差别。检验假设H0为各处理组的总体分布相同; 备择假设H1为各处理组的总体位置不同或不全相同 (即各总体的变量值有倾向性不同)。必要时还可进一步作两两比较或各实验组与对照组比较。
Friedman秩和检验(M. Friedman,1937) 方法步骤如下:
(1)先在每一配伍组内将数据从小到大编秩,如有相同数据,取平均秩次;再按处理组将各秩次分别相加,得各组秩和Ri,i=1,2,…,k。
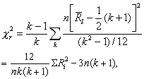
(2)按式(1)计算统计量x2r值,

式中k为处理组数;n为配伍组数;i=Ri/n为第i处理组的秩次均数; 为秩次总均数;相当于组间离均差平方和;(k2-1)/12为秩次的方差。
当同一配伍组内出现相等数据(即有相同秩次)时,所得x2r值略低,可按式(2)计算校正的x2rC值,

式中ti为第i个相同秩次组中的相同秩次的个数;其他符号同式(1)。
(3) 求得x2r(或x2rC2)值后,查表1得P值,按所取检验水准作出推断结论。注意: 当x2r(或x2rC)值恰等于表中界值时,其确切概率多小于表中的P值。当k或n超出表1范围时,x2r(或x2rC)分布近似于自由度v=k-1的x2分布,可直接查x2界值表得P值。

表1 秩和检验用x2r界值表


nk=3k=4
P: 0.050.010.050.01
2  6.00 
36.00 7.409.00
4
5
6.50
6.40
8.00
8.40
7.80
7.80
9.60
9.96
6
7
8
9
10
7.00
7.14
6.25
6.22
6.20
9.00
8.86
9.00
8.67
9.60
7.60
7.80
7.65
10.20
10.37
10.35
11
12
13
14
15
6.55
6.17
6.00
6.14
6.40
9.46
9.50
9.39
9.00
8.93
  

摘自 Owen DB: Handbook of Statistical Tables,p408,Addison-Wesley Publishing Company,Inc.,1962
例1 用某新药治疗血吸虫病患者,采用三天疗法,在治疗前及治疗后测定7名患者的血清谷丙转氨酶(SGPT)的变化,以观察该药对肝功能的影响,测定结果见表2。问四个阶段的SGPT有无差别?

表2 某新药治疗血吸虫病患者治疗前后SGPT(单位)的变化

患者号治疗前治 疗 后
1周2周4周
1
2
3
4
5
6
7
63(2)
90(1)
54(1)
45(1)
54(2)
72(1)
64(1)
188(4)
238(4)
300(4)
140(3)
175(4)
300(4)
207(4)
138(3)
220(3)
83(2)
213(4)
150(3)
163(3)
185(3)
54(1)
144(2)
92(3)
100(2)
36(1)
90(2)
87(2)
Ri9272113

H0: 治疗前后四个阶段患者的SGPT的总体分布相同,
H1: 四个总体的位置不同或不全相同。
a=0.05。
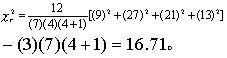
对每一患者治疗前后SGPT的观察值从小到大编秩,列于其后的括弧内,计算各阶段的秩和Ri。本例n=7,k=4,按式(1)计算x2r


查表1得P<0.01,按a=0.05水准拒绝H0,接受H1,故可认为治疗前后四个阶段的SGPT有差别。
两两比较 当上述x2r秩和检验认为各总体的位置不同时,可进一步作两两比较的秩和检验。方法步骤如下:(1)将各处理组的秩和从大到小排列:R1,R2,…,Rk。按顺序列出对比组及两对比组范围内包括的组数a,如表3第(1)、(3)栏。
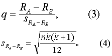
(2) 求统计量q值。计算公式为

式中RA-RB为两两比较中的任何两个对比组的秩和之差,SRA-RB为差值的标准误,其他同前。
(3)查q界值表(见“多个样本均数间两两比较”,表1,恒取v=∞)得P值,按所取检验水准作出推断结论。
例2 例1资料中哪两阶段间的SGPT有差别?
H0: 任两阶段SGPT的总体分布相同,
H1: 任两阶段总体的位置不同或不全相同。
a=0.05。
各阶段的秩和按大小排列:

组次1
(治后1周)
2
(治后2周)
3
(治后4周)
4
(治疗前)
Ri2721139

由此确定各对比组及a,见表3第(1)、(3)栏。求出各对比组秩和之差RA-RB,见表3第(2)栏。按式(4)求两组秩和之差的标准误SRA-RB


按式(3)计算q值见表3第(4)栏。

表3 四个阶段SGPT的两两比较


查q界值表,得P值,P<0.05者在q右上角标以“*”号,P>0.05者未标“*”号。故按a=0.05水准,可认为治后1周、2周SGPT有升高,但治后4周与1周相比已有下降,与治疗前比已看不出差别了。
各实验组与对照组比较 经上述x2r秩和检验,认为各总体不同时,还可进一步将若干个实验组分别与一个共同的对照组比较,方法步骤如下:
(1)将各组 (包括实验组与对照组)秩和从大到小排列。按顺序列出对比组及两对比组范围内包括的组数α,如表4第(1)、(3)栏。
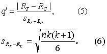
(2) 求统计量q′值。计算公式为

式中RT-RC为每个实验组与对照组秩和之差;SRr-RC为差值的标准误;其他同前。
(3)查q′界值表 (见条目“各实验组与对照组均数比较”,表1,2,恒取v=∞)得P值,按所取检验水准作出推断结论。
例3 若以例1中治疗前的SGPT作为对照组,治疗后的哪些阶段与它有差别?
H0: 任一实验组的总体分布与对照组的相同,
H1: 实验组总体与对照组总体的位置不同或不全相同。
α=0.05。
四组秩和按大小顺序排列:

组次:T1
(治后1周)
T2
(治后2周)
T3
(治后4周)
C
(治疗前)
Ri:2721139

由此确定各对比组及α,见表4第 (1)、(3)栏。求各对比组秩和之差 RT-Rc ,结果见表4第(2)栏。按式(6)求sRT-RC得


按式(5)计算q′值,见表4第(4)栏。

表4 表2资料实验组与对照组比较的秩和检验


查q′界值表得P值,P<0.05者在q′ 值右上角标以“*”号,P>0.05者未标“*”号,见表4第(4)栏。故按α=0.05水准,T1组与C组间,T2组与C组间拒绝H0,接受H1;T3组与C组间不拒绝H0。可认为治疗后1周、2周的SGPT较治疗前有升高,而治疗后4周与治疗前已看不出差别了。
☚ 各实验组与对照组比较的秩和检验   游程检验 ☛
00013249
随便看

 

离鸟网收录3541549条中英文词条,其功能与新华字典、现代汉语词典、牛津高阶英汉词典等各类中英文词典类似,基本涵盖了全部常用中英文字词句的读音、释义及用法,是语言学习和写作的有利工具。

 

Copyright © 2004-2024 vtrois.com All Rights Reserved
更新时间:2026/4/7 19:56:31