网站首页  词典首页


请输入您要查询的字词:

 

字词 分选切纸机
类别 中英文字词句释义及详细解析
释义 分选切纸机

1.概述

这种切纸机发明于1936年,由于长期保密,所以至今还没有一个典型的样机。但已有很多人断定,今后的切纸机肯定会被这种切纸机所代替,因为它能使切纸,送纸,包装等工序变成连续化。

这种切纸机目前最大问题就是光电检测机构尚有缺欠,它还达不到熟练选纸工的水平,虽然对黑色尘埃、大的灰色尘埃、针孔等检出率是很高的,但对褶子、皱纹检测较差,而对红黄色尘埃尚不能检测。它与普通转刀式切纸机不同的是有两套或两套以上接纸台。其中一套接纸台收接完全良好的纸叠,另一套接纸台收接夹有不合格品的纸叠,因此,它可以大大节约人力,人工只拣选夹有不合格纸页的接纸台的纸叠。

2.分选切纸机的组成部分

见图11-7-61,分选切纸机的分选机构主要由下列部分组成:(1)检出部;(2)增幅部;(3)计算出力机构;(4)振分装置;(5)夹有纸病的接纸台;(6)合格品接纸台。

3.检出机构

纸病的检出机构有两种类型,一种利用静电,一种利用光电。

(1)使用静电的方法

在纸的两面放高压静电,当纸有孔眼或针眼时,孔眼或针眼处没有绝缘,静电穿过,依此来检测纸的孔眼和针眼。此法只能检测孔眼和针眼,不能检测其他纸病。

(2)使用光电的方法

❶ 利用透过光的情况。

❷ 利用反射光的情况:

(a)纸面直接反射;

(b)与纸接触的金属片反射。

上述中,(2)中❶ 的方法对孔眼、针眼完全可以检测出来。检出率很高,而且对纤维组织非常不均的纸页也能检测出来;(2)❷ (a)的方法,即使是非常小的黑色尘埃也能检测出来,很灵敏,但对细小的灰色尘埃几乎不起作用,对黄色、红色尘埃,即使是大个的也根本不起作用;对摺子、皱纹也不起作用;(2)❷ (b)方法,利用专用的金属片,对纸面的摺子、皱纹、凸起物(如浆疙瘩)进行检测,利用金属片光反射的方向变化和进入光电管光量的变化进行检测纸面。这种办法,目前还不能百分之百的有效。

由于检出机构尚存在一些缺欠,所以目前国际上仅利用3(1)和3(2)的方法来检测黑点,大灰点、孔眼、针眼、摺子、皱纹、裂口、缺角、短边、毛毯皱纹、凸起物、料疙瘩(浆团)等。光源采用白炽灯泡,受光部使用硫化镉光电管或硅树脂光电管。

4.增幅、计算出力机构

检出机构一旦检测出纸病,便向光电管发出脉冲电流,一面光电管从发生微弱电流开始到出力电流停止为止,这期间增幅器进行增幅。然而,增幅和出力机构对由于切纸刀产生的纸病并不起作用。

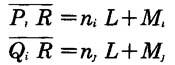
如果从反射光焦点(见图11-7-61)P1、P2、P3、P4和里侧焦点Q1、Q2、Q3、Q4到切纸辊R的纸幅长度为L,其关系见下式:

式中 PiR——从Pi到R的纸幅长度

QiR——从Qi到R的纸幅长度

设从切纸刀辊R到振分装置D之间的切纸张数为N,当落到第一送纸带时,检测机构发生脉冲电流,使振分装置D开启,则ni+N和nj+N张纸页通过振分装置,待通过后,振分装置立即闭合。控制这个时间的记忆机构有机械控制,继电器控制或计算机控制。如果控制精度不高,会使振分装置不灵,出现开得早,开得小,开得迟现象。

随便看

 

离鸟网收录3541549条中英文词条,其功能与新华字典、现代汉语词典、牛津高阶英汉词典等各类中英文词典类似,基本涵盖了全部常用中英文字词句的读音、释义及用法,是语言学习和写作的有利工具。

 

Copyright © 2004-2024 vtrois.com All Rights Reserved
更新时间:2026/4/7 0:47:18