网站首页  词典首页


请输入您要查询的字词:

 

字词 酪氨酸及其代谢
类别 中英文字词句释义及详细解析
释义
酪氨酸及其代谢

酪氨酸及其代谢

酪氨酸的分子量为191.2,熔点为342~344℃(分解),[α]25D=10.0(浓度=2在5N HCl内),是构成蛋白质的氨基酸,具有电离的芳香环侧链,呈嗜水性。
酪氨酸在人及动物体内由苯丙氨酸羟化而产生,所以当苯丙氨酸营养充足时,是非必需氨基酸(见“苯丙氨酸及其代谢”条)。
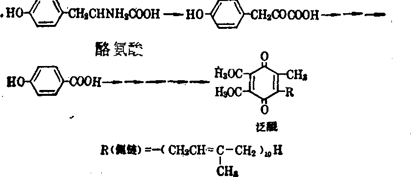
酪氨酸的分解代谢是先在肝内酪氨酸转氨酶催化下,转变成对羟苯丙酮酸,该酶需要吡哆醛磷酸充作辅酶。对羟苯丙酮酸经对羟苯丙酮酸羟化酶的作用,同时引起侧链丙酮酸的氧化脱羧和转移以及苯环邻位的羟化,生成尿黑酸(二羟苯乙酸)。该酶是含铜的金属蛋白,需要抗坏血酸充作辅酶及消耗分子氧。尿黑酸在尿黑酸双加氧酶(尿黑酸氧化酶)催化下,将苯环分裂,产生顺丁烯二酰乙酰乙酸; 该酶是含铁的金属蛋白,反应需要一分子氧参与。顺丁烯二酰乙酰乙酸经相应异构酶的作用转变为延胡索酰乙酰乙酸,需要谷胱甘肽充作辅酶。最后由相应的水解酶将其水解为延胡索酸及乙酰乙酸,所以酪氨酸既是生糖又是生酮氨基酸。


酪氨酸代谢症(tyrosinosis)是一种先天性疾病,极为少见,血中酪氨酸显著增多,同时从尿中排出酪氨酸及大量对羟基苯丙酮酸。已确切证明为酪氨酸转氨酶的欠缺所致,而非以前所假设的那样,是由于对羟苯丙酮酸羟化酶的缺陷。这一病症不能与酪氨酸血症混淆,虽然二者的症状都很相似,但后者看来是由于缺乏对羟苯丙酸氧化酶所致,多发生于婴儿中,往往为进行性肝与肾损伤所致死。另外还发现尿黑酸尿症患者的尿放置后变黑,这是因为患者体内缺乏尿黑酸氧化酶,尿黑酸即由尿中排出,当尿液放置后尿黑酸很快被空气氧化成对醌,然后多聚合成黑色素,使尿液呈黑色。许多尿黑酸患者在40~50岁以后,会因此而发生关节炎。
酪氨酸在体内经酪氨酸脱羧酶的催化可转成酪胺。酪氨酸脱羧酶在肝中活性很低,而在细菌中活性很高,所以在肠内蛋白质腐败过程中多有产生。酪胺有升高血压的效能。
在氨基酸中酪氨酸是合成重要的非蛋白含氮物质的前体,甲状腺素包括T3、T4以及儿茶酚胺包括肾上腺素、去甲肾上腺素及多巴胺均是来自酪氨酸的衍生物,其中L-胺则不仅是合成肾上腺素的中间产物,也是重要的神经递质。
黑素是一种含氮黑色素,特别分布于皮肤、毛发、视脉络层等组织内,由黑素细胞产生。酪氨酸是合成黑素的前提,在酪氨酸酶催化下先将酪氨酸羟化成多巴(3,4二羟苯丙氨酸),继将多巴转变成多巴醌。酪氨酶是催化黑色素合成的酶,为一含铜的酚氧化酶。从多巴醌开始即是自动进行的反应,主要通过侧链化得出吲哚醌,继之实现聚合,以合成黑素。实际上黑素还须与蛋白质和磷脂相结合,构成所谓的黑素颗粒而存在。白化病的发病机理,是由于酪氨酸酶的先天性缺陷,使黑素细胞丧失合成黑素的能力所引起。


泛醌(辅酶Q)是线粒体内呼吸链的一个环节,为芳香环的脂溶性物质。曾认为是属于类似维生素K及E的脂溶性维生素,直至近年来才阐明泛醌的芳香环来自酪氨酸,酪氨酸通过对羟苯丙酮酸降解到对羟苯甲酸; 继之与异戊烯焦磷酸缩合成芳香环含有多异戊烯侧链的化合物,最后逐渐输入芳香环的取代基,其中甲基则由S腺苷甲硫氨酸提供; 关于多异戊烯侧链的长度,在动物、植物、微生物是不相等的,从人线粒体获得的多异戊烯侧链,具有10个异戊烯单位。
☚ 苯丙氨酸及其代谢   色氨酸及其代谢 ☛
00000632
随便看

 

离鸟网收录3541549条中英文词条,其功能与新华字典、现代汉语词典、牛津高阶英汉词典等各类中英文词典类似,基本涵盖了全部常用中英文字词句的读音、释义及用法,是语言学习和写作的有利工具。

 

Copyright © 2004-2024 vtrois.com All Rights Reserved
更新时间:2026/4/9 3:30:17