金霉酸类抗生素
金霉酸类抗生素包括金霉酸(aureolic acid)、阿布拉霉素(aburamycin)、色霉素、橄榄霉素、光神霉素、LA-7017、M5-18903、NSCA-649以及varinamycin。并以第一个发现的金霉酸来命名这一族抗生素。
根据理化性质和化学结构等一系列的研究证明,NSC-A-649是橄榄霉素A、B、C、D的混合物;阿布拉霉素是色霉素A2、A3、A4和7-甲基橄榄霉素C(即去乙酰基色霉素人2)的混合物; 而单一成分的金霉酸就是LA-7017或光神霉素。
这一族抗生素仅有三种基本结构:色霉素、橄榄霉素和光神霉素。
色霉素,橄榄霉素和光神霉素的作用原理十分相似,对于葡萄球菌和肿瘤细胞,三种抗生素呈现交叉耐药性。和放线菌素相同,它们都与DNA形成稳定的复合体,选择性地抑制细菌和哺乳动物细胞RNA的合成。与放线菌素不同的是,金霉酸类抗生素仅在镁离子存在时才与D-NA反应。尽管这一类抗生素可能都在同一结合点上与DNA分子发生反应,彼此之间又有若干差异。
生。用纸层析可将之分离为A群(A1-A5),B群(O1、O2、P、F)和C群。A群的生物活性较高,其中最有效成分是A3(商品名toyomycin)与竹桃霉素可同时产生。色霉素A3抑制革兰阳性细菌、分枝杆菌、粘病毒和大鼠吉田肉瘤的生长。对网状细胞肉瘤、复发的子宫癌以及乳腺癌、胃癌的淋巴结转移效果较好。这种抗生素的特点是很少影响骨髓及机体防御功能。多用于合并用药,如METT(即丝裂霉素,环磷酰胺,噻替派和色霉素),MFT(即丝裂霉素,氟尿嘧啶和色霉素)疗法治疗胃癌和肺癌。

橄榄霉素 (olivomycin) 系由Act. olivoreticuli产生,是一个由A,B,C,D四种成分组成的抑制革兰阳性细菌和多种实验肿瘤生长的复合物,以A的含量最高。它的毒性要比色霉素A3低得多。临床上对黑色素瘤、卵巢癌、肺癌、精原细胞瘤的肺转移有一定的客观疗效,制成油膏对癌性溃疡有疗效。橄榄霉素对扁桃体肿瘤也有显著活性,若与放疗或其它药物合并使用效果更好。

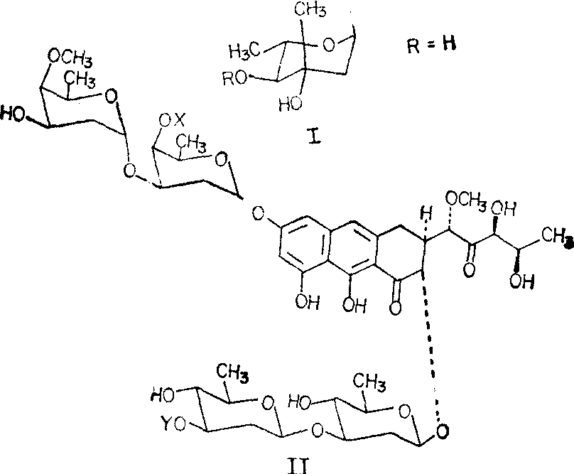
| | X | y |
橄榄霉素A 橄榄霉素B 橄榄霉素C 橄榄霉素D | COCH3 COCH3 H COCH3 | α-4-异丁酰橄榄霉糖 α-4-乙酰橄榄霉糖 α-4-异丁酰橄榄霉糖 H |
Ⅰ:橄榄霉糖
Ⅱ:橄榄霉素
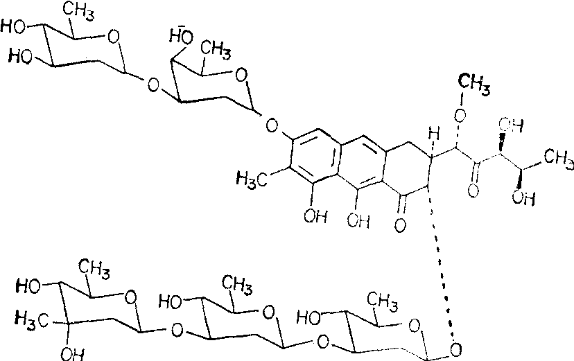
光神霉素 (mithramycin,mithracin,mitocin) 又名光辉霉素 (guanghuimycin) 由Str. tanashiensis或Str.No. 684所产生,为鲜黄色酸性物质,与碱金属能成结晶性盐,游离酸或盐均较易溶于水,游离酸亦溶于甲醇、乙酸乙酯及丙酮中。其水溶液在冰箱内保存,相当稳定,对光敏感。临床用于治疗睾丸胚胎癌、脑星形细胞瘤、脑转移恶性肿瘤,并可与手术合并使用。对淋巴肉瘤、何杰金病、鼻咽癌、卵巢癌、宫颈癌、乳腺癌、胃肠道癌也有一定疗效。此种药物对各种癌症引起的血钙过高有降低作用。其主要毒性为胃肠道反应、倦怠和造血功能的抑制,对肝肾功能也有影响。
