网站首页  词典首页


请输入您要查询的字词:

 

字词 链霉素
类别 中英文字词句释义及详细解析
释义

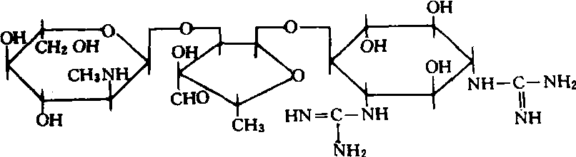
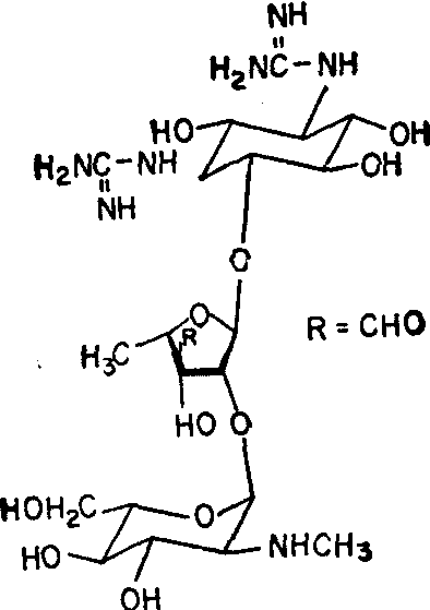
链霉素streptomycin

抗生素。由灰色链霉菌(Strep-tomyces griseus)代谢产物。化学名称:2,4二脈基3,5,6,-三羟基环己基-5-脱氧-2-O-(2-脱氧-2-甲胺基α-L-吡喃葡萄基)-3-C-甲酰-β-L-来苏戊呋喃糖甙。化学结构式如下。1944年发现,主要用于医药上,对革兰氏阴性或阳性菌有效。1952年开始用于植物细菌性病害防治。如梨火疫病、柑橘溃疡病、大白菜软腐病、烟草野火病、马铃薯腐烂病、黄瓜角斑病等,对卵菌引起的病害亦有效,如霜霉病、晚疫病、黑胫病等。具内吸作用,低温时残效一星期。阳光晴天残效3~4天,高温时易产生药害。

链霉素

链霉素lianmeisu

是1944年从放线菌属中的灰色链霉菌的培养滤液中提制的一种抗菌素。链霉素是碱性物质,它对结核杆菌有强大的抑菌作用,对各种革兰氏阴性杆菌,如大肠杆菌、产气杆菌、肺炎杆菌、沙门氏杆菌、痢疾杆菌等也有较好的抗菌作用。低浓度时有抑菌作用,高浓度时则有杀菌作用。链霉素主要用于治疗各种结核病,对鼠疫与野兔热也有良好效果。但细菌易对其产生耐药性。此外,用量多时还会产生一些副作用,用时应遵医嘱。

☚ 抗生素   金霉素 ☛

链霉素streptomycinum

系从放线菌属的灰色链丝菌的培养液中分离而得的一种抗生素。临床应用的为其硫酸盐,白色粉末,性质安定,有潮解性,易溶于水,其溶液在pH8时最稳定;遇热、氧化剂、还原剂等均可失效;不被胃酸破坏,可供口服。对结核杆菌有特效,对某些革兰阴性、阳性菌有抑制和杀灭作用。临床上主要用于各种结核病、百日咳、兔咬热;也可与青霉素或氨苄青霉 素合用治心内膜炎或其他严重感染。肌肉注射1日1~2次,1次0.5g,1~2周为1疗程;治疗结核可1日1次或隔日1次,1次1g,1疗程30~60g;为预防毒性反应。可在应用20g后,改为1周注射2次,每次0.5~1g。本药对第8对颅神经有损害作用,可引起听觉丧失与前庭功能障碍,故孕妇、小儿应忌用或十分慎用;可引起口唇麻与四肢麻,此点与药品质量有关;对肾脏有轻度损害作用,对肾功能不全者慎用;可引起药疹、粘膜水肿、嗜酸性细胞增多、肌痛与关节痛等;可引起过敏性紫癜等;偶可引起过敏性休克;与强利尿药合用可加重耳毒作用。

链霉素

从灰链丝菌的培养液中提得。氨基甙类抗菌类。其硫酸盐为白色粉末,易溶于水。抗菌谱较广,对多种革兰氏阴性杆菌有强大的杀菌作用,对结核杆菌有突出的疗效。主要用于结核病、鼠疫、尿道感染。不良反应最重要的是对第八对脑神经的损害,表现为平衡失调、眩晕、恶心呕吐及听力受损,以及肾脏损害和过敏反应等。

链霉素

链霉素


链霉素(streptomycin)是Str.griseus产生的碱性抗生素。它是由链霉胍、链霉糖和N-甲基-L-葡萄糖胺组成的。链霉素硫酸盐易溶于水,微溶于乙醇,不溶于氯仿和乙醚。室温下链霉素在pH3~7的水溶液中较稳定。干燥品在室温中可保存数年。
链霉素对结核杆菌的抗菌作用很强,是重要的抗结核药物,对结核杆菌的最低抑菌浓度一般为0.5μg/ml。链霉素对大肠杆菌、产气杆菌、肺炎杆菌、沙门菌属、痢疾杆菌、布氏杆菌、流感杆菌、百日咳杆菌等以及某些革兰阳性细菌,如:炭疽杆菌、李司忒菌、葡萄球菌的某些菌株也有一定抗菌作用。对肺炎球菌、链球菌、绿脓杆菌、变形杆菌(某些菌株)等的作用差。细菌对链霉素易产生耐药性,一旦产生后常稳定不变。因此临床上除结核病外应用上受到很大限制。链霉素与新霉素和卡那霉素之间有部分交叉耐药性。这种交叉耐药性通常是单向的,即对新霉素和卡那霉素耐药的菌株,对链霉素的耐药性大部分有显著增加,然而链霉素耐药菌株对于新霉素和卡那霉素却往往仍然敏感。
链霉素口服后,血清中的浓度常极低而致无法测出。60%以上自粪便中排出,极小部分被吸收而出现于尿中。
链霉素肌内注射给药吸收良好,约1小时后血浓度达高峰,血中最高浓度可达20~40μg/ml,血清中的有效浓度可维持12小时之久。半寿期为2~4小时。在肾功能衰竭,少尿患者中,半寿期可延至50~100小时,因此易致蓄积中毒,宜减少用量或延长给药间隔时间。链霉素主要以原形通过肾小球过滤由肾排出,24小时内可排出50~60%。
链霉素很容易渗入腹腔和胸腔中,也可透过胎盘而进入胎儿循环中,羊水浓度约为母体血清的一半。链霉素主要分布在细胞外液,不易透入细胞内。脑膜炎时可有一定量透过血脑屏障,但一般未能达到有效治疗浓度。
链霉素的主要副作用是过敏反应及毒性反应。过敏反应中以皮疹、发热、嗜酸粒细胞增多综合征和单独皮疹较为多见。链霉素也可导致过敏性休克。急性不良反应以麻木、头晕、耳鸣等症状为多见。最严重的慢性不良反应为对第八对颅神经的损害,主要是对耳前庭系的损害,大多为暂时性,少数可存在较长时间或成为持久性。链霉素对肾脏有轻度损害,但停药后即可恢复,肾功能减低的患者宜慎用。
临床上链霉素常与其他抗结核药物合用治疗各种结核病,此外也常与其他抗生素联合用于某些革兰阴性细菌中敏感菌株引起的感染,如鼠疫、兔热病、布氏杆菌病、细菌性心内膜炎、败血症、尿路感染和胆道感染等疾病。
链霉素主要供肌内注射,成人每日0.75~1.0g,分1~2次注射,儿童按体重每公斤每日注射15~25mg,分二次给予。链霉素口服后很少吸收,也不为肠胃道所破坏,故口服可用以治疗肠道感染或作为腹部手术前的肠道灭菌准备。成人每日1~3g,儿童每日50~80mg/kg,四次分服。
☚ 氨基糖甙类抗生素   新霉素 ☛

链霉素

streptomycin

随便看

 

离鸟网收录3541549条中英文词条,其功能与新华字典、现代汉语词典、牛津高阶英汉词典等各类中英文词典类似,基本涵盖了全部常用中英文字词句的读音、释义及用法,是语言学习和写作的有利工具。

 

Copyright © 2004-2024 vtrois.com All Rights Reserved
更新时间:2026/4/7 1:15:24