刚体、刚体的动量矩及动能
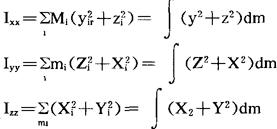
刚体是一种特殊的质点组,其中任何两质点间的相对位置不因外力的作用而发生改变,和质点一样这是从实际中抽象出来的一种理想模型,在实际问题中,当物体的大小和形状在运动过程中的变化可忽略不计时,就可近似地作为刚体来处理。 设刚体在t时刻的瞬时平动速度及角速度分别为 及 ,则刚体上任一点i的瞬时速度可写出为  式中ric为i点相对于质心的矢径。因此刚体对某定点0的动量矩可写成  此式中M是刚体总质量。上式第二大次表示刚体绕质心的动量矩,若以 示之,并以(xi,yi,zi)示 的分量,则可得 J’x=Ixxωx-IxYωY-Ixzωz J’Y=-IYxωx+IYYωY-IYzωz J’z=-Izxωx-IZYωY+IZzωz 式中   Ixx、Iyy及Izz为刚体绕X轴、Y轴及E轴的转动惯量。  统称为惯量积 若引入(定义)惯量张量  则 的分量式可简单地表示为  类似地,刚体的动能可写出为  式中T′为刚体相对于质心的动能。 
|