刚体上力系的简化
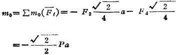
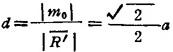
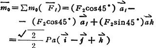
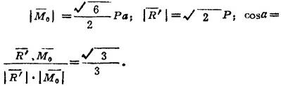
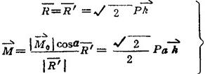
1.2.1 基本力系的简化 (1)汇交力系的简化 各力作用线相交于一点的力系称为汇交力系。汇交力系总可简化(合成)为合力。合力的大小和方向等于汇交力系主矢的大小和方向,合力的作用线过此汇交力系的汇交点。由合矢量的投影定理知,合力R在直角坐标轴上的投影等于各力在相应轴上投影的代数和,即      (2)其它力系简化实例 例1.2-1 如图1.2-6所示,在边长为α的正方形平板上作用著 , , 三力,各力的大小均为P。试求此三力的最简简化结果。  图1.2-6 力系简化实例一 解:计算力系主矢 )选取Ο为矩心,计算力系主矩  可见力系可简化为作用于O点的一个力和一个力偶(图1.2-6b)。 由 , ,可知力系还可进一步简化为一合力R。由  可知合力作用线过正方形顶点D(图1.2-6c)。其合力矢为  例1.2-2边长为a的正方体上作用二等值力 ,其作用线位置和方向如图1.2-7(a)所示。试求此二力的最简简化结果。 解:建立如图坐标系Oxyz。计算力系的主矢  计算力系对O点的主矩  显而易见,由 知, 和 不垂直,故力系最简结果为一力螺旋。  图1.2-7 力系简化实例二 由 其中  故代入上式化简可得  可知力螺旋的中心轴过底面中点O1。力螺旋的力矢和力偶矩矢分别为(图1.2-7(c)):  |