刚体平面平行运动的分析方法
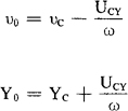
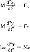
刚体作平面平行运动时,刚体中任何一点始终在平行于某一固定平面的平面内运动,因此研究刚体这种运动,只需研究刚体中任一与该固定平面平行的任一截面的运动即可。 刚体的平面平行运动可视为整体的平动(可由质心的运动来标志)反绕通过质心的与该固定平面正交的轴的转动的合成。刚体上任一点A在t时刻的瞬时速度可写出为:  式中 为质心的瞬时速度,ω为瞬时角速度, 为A点相对于质心c的位矢。 若取该固定平面为XY平面,则本情况下该矢量式的分量式为 VAX=VCX-ωZ(YA-YC) VAY=VCY+ωZ(XA-XC) 由此还可求知瞬时转动中心 的位置为  根据质点组的动量及动量矩定理,可知作平面平行运动的刚体的动力学方程为  式中 为合外力,Mz为对质心的外力矩的Z轴分量,Izz为该刚体绕通过质心的Z轴的转动惯量。此方程中的外力应包括约束力,因约束力一般为未知的,而描述该刚体运动的独立变量是三个(即XC、YC及φ),故还需加入限制运动的约束条件才能求解。 |