网站首页  词典首页


请输入您要查询的字词:

 

字词 刚度和轴颈应力验算压榨辊的许用总载荷[Q]和许用附加外力[P]
类别 中英文字词句释义及详细解析
释义 刚度和轴颈应力验算压榨辊的许用总载荷[Q]和许用附加外力[P]

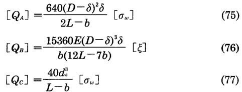
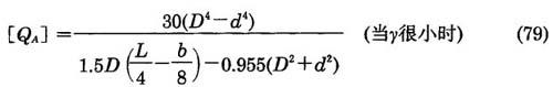
1.求压榨辊许用总载荷的一般算式

式(75)~式(77)不包含真空压榨辊。因为它们是孔辊,其截面模数的求法与无孔压榨辊不同。

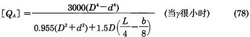
2.花岗石压辊(含上、中、下压辊)

(1)按辊筒强度求[QA

(2)按芯轴螺纹强度求[QD

式中 [QD]——辊内不灌水泥时按芯轴螺纹强度求得的石辊许用总载荷,N

d0——石辊芯轴的螺纹内径,cm

推导式(78)至式(80)时,取钢垫圈与花岗石辊端面间的摩擦系数为0.15。并取钢芯轴的[σω]=51MPa。算出来的两个[QA]选用较小者。又,辊内灌有水泥时可不必验算[QD]。

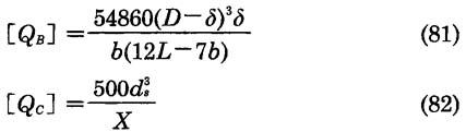
(3)按辊筒刚度和轴颈应力求[QB]和[QC

验算花岗石压榨辊的[QB]、[Qc]时,可不分辊内有无水泥,也不分上、下辊。但在求许用附加外力[P]时则应分上、下辊。

推导式(81)、式(82)时,取石辊的(一般此值为),并取轴颈的[σω]=25Mpa。危险断面至轴承中心的距离X,应取在圆盘螺母外侧、芯轴螺纹尾部。由于此位置已被指定,故式(82)仅适用于石质压榨辊。

3.铸铁压辊

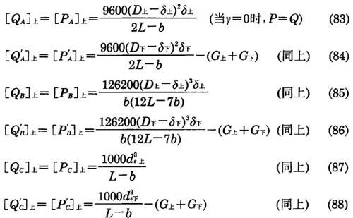
本条从(1)至(5)款中的两辊或三辊压榨均为有、无被覆层的铸铁辊。若加压辊或非加压辊两者之一为花岗石辊时,则应该这样来计算:先从表达花岗石辊[QA]、[QD]的式(78)、式(79)、式(80)中取算出的那个最小值连同式(81)、式(82)这两个算式和一个常数分别相应代入式(83)至式(118)中,置换出三项来。具体代换法详见例题的演算。

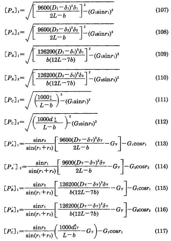
(1)两辊中心在同一垂直线上(图11-9-10)

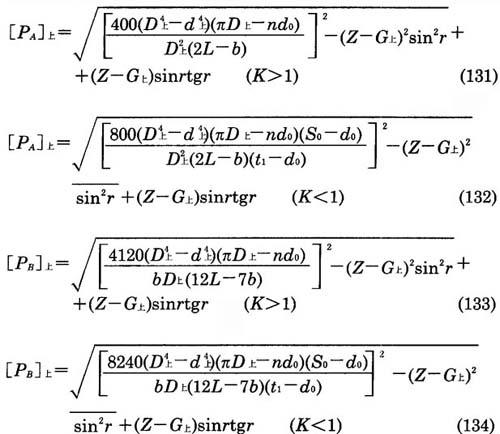
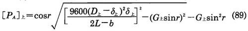
G为上辊带轴承、轴承座的重力,因其具有附加外力的作用,故称加压辊。压榨辊是成对工作的,不仅应单独考虑加压辊的强度、刚度及轴颈应力,还要按相配辊的这些条件,综合核算加压辊的许用附加外力,故[、[、[便是由后者而产生的。推导式(85)和式(86)时,取(一般压榨的ξ为)。又,式(87)、式(88)是取钢轴颈之[σω]为25MPa而导出的,类此皆同。

(2)两辊中心有偏距、水平加压(图11-9-11)

(5)堆垒式三辊压榨(图11-9-14)

式中G1、G2为上辊1、上辊2带轴承及座的重力(N)。推导式(113)至式(118)时,为了简化计算,特假定式(67)中的未知角α为零。

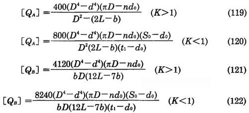
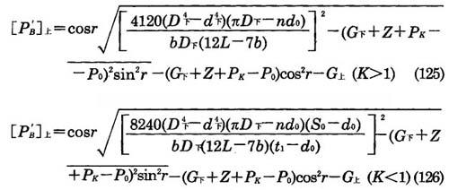
4.求真空压榨辊的许用总载荷[Q]和许用附加外力[P]

(1)真空压榨辊的许用总载荷[Q]

式中的符号、单位同真空伏辊。

(2)真空压榨辊的许用附加外力[P]

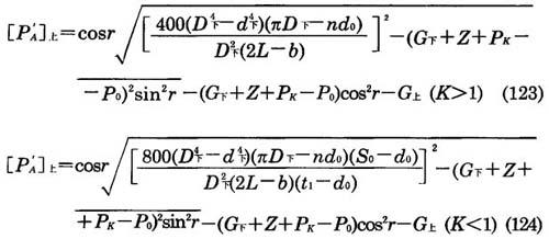
❶ 两辊压榨下辊为真空辊图(11-9-15)[PA、[PB、[PC的求法同式(89)、式(91)、式(93)。

式(119)至式(126)系假定真空压榨辊筒体材料为铸锡青铜和它的而求得的。后面的式(127)至式(134)也是如此。

❷ 斜立式三辊压榨下辊为真空辊(图11-9-16)

[PA、[PB、[Pc的算法同式(101)、式(103)、式(105)。

❸ 斜立、堆垒式三辊压榨上辊为真空辊(图11-9-17)

以上四式可直接用于斜立式三辊真空上压榨。若用于堆垒式,则因有两个真空上辊1、2,故求[PA]及[PB]时,应将式中的“上”改成“1”、“2”;“r”也相应改成“r1”和“r2”。如需要考虑堆垒式下辊的强度、刚度和轴颈应力而求两个真空上辊的[1、[1、[1、[2、[PB]2、[2时,可用式(113)至式(118)计算;如该下辊直径增至1200~1500mm刚度很大时,则无必要核算这些许用附加外力[P]。对于斜立式三辊压榨,因中辊同时受上、下辊的压差作用,且直径一般均比加压辊大,故无必要按中辊的强度、刚度验算两个加压辊的许用附加外力[、[、[、[

随便看

 

离鸟网收录3541549条中英文词条,其功能与新华字典、现代汉语词典、牛津高阶英汉词典等各类中英文词典类似,基本涵盖了全部常用中英文字词句的读音、释义及用法,是语言学习和写作的有利工具。

 

Copyright © 2004-2024 vtrois.com All Rights Reserved
更新时间:2026/4/7 12:29:17