网站首页  词典首页


请输入您要查询的字词:

 

字词 阿托品及其合成代用品
类别 中英文字词句释义及详细解析
释义
阿托品及其合成代用品

阿托品及其合成代用品


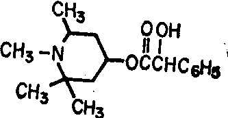
阿托品及其合成代用品都是M-胆碱受体阻断药,阿托品的化学结构见上。
阿托品(atropine) 是从茄科植物颠茄(Atropa bell-adonna)、曼陀罗(Datura stramonium)或莨菪 (Hyosc-yamus niger)等中提取的生物碱。天然存在的是不稳定的左旋茛菪碱(L-hyoscyamine)经化学处理后,得稳定的消旋体即阿托品。也可化学合成,常用其硫酸盐。白色结晶性粉末、无臭、味苦,易溶于水和醇。遇碱性药物可引起分解。阿托品能阻断M-胆碱受体,从而拮抗乙酰胆碱或其拟似药的M样作用(毒蕈碱样作用)。主要作用如下:
(1) 松弛平滑肌: 阿托品有松弛许多内脏平滑肌的作用,对过度活动或处于痉挛状态的平滑肌则有明显松弛作用,而对正常活动的平滑肌影响较小。
(2) 抑制腺体分泌: 阿托品通过阻断M-胆碱受体抑制腺体分泌。对唾液腺及汗腺的抑制作用最明显。也可使泪腺和呼吸道腺体的分泌大大减少,但对胃酸分泌的影响则较小。
(3) 对眼的作用: 阿托品通过阻断瞳孔括约肌及睫状肌的M-胆碱受体而表现为散瞳、升高眼内压及调节麻痹。这三种作用都有重要临床意义。
(4) 对心血管的作用: 较大剂量(1~2mg) 阿托品能解除迷走神经对心脏的抑制,因而使心率加快。大剂量能扩张皮肤及内脏血管,解除小动脉痉挛。其扩张血管及解除小血管痉挛的机理不明。
(5) 兴奋中枢神经系统: 大剂量时出现烦躁不安、多言及谵妄等。中毒剂量(超过10mg)则可产生幻觉、定向障碍、不随意运动及惊厥等。
口服后很快由胃肠道吸收并迅速分布到全身组织,也能通过胎盘进入胎儿循环。临床研究表明,肌内注射2mg后,24小时内有85~88%经尿排出。其中约5%以原形出现,33%则为其代谢产物; 在粪便及其他分泌物中仅有少量排出。
副作用有口干、视力模糊、心悸、皮肤干燥及便秘等。大剂量中毒则由兴奋转入抑制,出现昏迷和呼吸麻痹而死亡。
主要用于内脏平滑肌痉挛所致的绞痛(以缓解胃肠道平滑肌痉挛的效果较好),0.3mg口服或0.5mg皮下、肌内或静注;虹膜睫状体炎:0.5~1%液滴眼; 全身麻醉前给药,以减少呼吸道及唾液分泌,0.5mg皮下注射;锑剂中毒所致的阿斯综合征: 2mg静注及1~2mg皮下注射,以后每半小时静注1mg,病情好转后改用每2~4小时肌注1mg,直到心率达每分钟100次并恢复节律性心律;房室传导阻滞:0.5~1mg静注,每4~6小时一次;感染中毒性休克: 在补充血容量前提下,1~2mg用葡萄糖液稀释后静注,每10~20分钟一次;有机磷酸酯类中毒:轻度中毒者0.5~1mg肌注,每日3次;中度中毒者1~2mg肌注或静注,每0.5~2小时一次;重度中毒者则1~3mg,每15~30分钟静注或肌注一次。
青光眼和眼内压升高倾向、胃幽门梗阻和前列腺肥大的患者禁用。
后马托品(homatropine) 是阿托品的苯羟乙酸酯。其散瞳和调节麻痹作用的持续时间远较阿托品短(均为1~2日,而阿托品则分别长达7~10日和8~12日),且不良反应轻微,无抑制分泌使喉头感觉干燥的副作用。因此用于散瞳检查眼底及验光比较方便,常用其1~2%溶液滴眼。


优卡托品(eucatropine) 的散瞳作用维持时间比后马托品更短暂(1/4~1/2日),且无调节麻痹作用。不良反应较后马托品更轻,主要用于散瞳检查眼底及验光。常用其2~5%溶液滴眼。


溴化丙胺太林(propantheline bromide) 又名普鲁本辛(probanthine),为季铵类,具有以下特点:
❶口服吸收较差,约为注射给药的1/10;
❷不易透过血脑屏障,几乎无中枢作用;
❸神经节阻滞作用较明显;
❹中毒量可导致神经肌肉阻滞,呼吸麻痹;
❺对胃肠道平滑肌解痉作用强,也较持久,并能减少各种腺指肠溃疡、胃炎、幽门痉挛、胰腺炎、妊娠呕吐、多汗症等。口服15~30mg,每日3次。主要不良反应为口干、视力模糊、排尿不畅、便秘和心悸等。青光眼及前列腺肥大患者禁用。
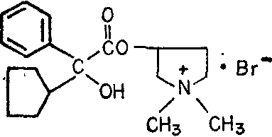
溴化甲基东莨菪(scopola-mine methylbromide) 又名(methscopolamine bromide,hyoscine metholybromide)。


抑制胃肠活动及胃液分泌作用较普鲁本辛强约10倍,但比阿托品弱。用于胃及十二指肠溃疡、胃肠道痉挛性痛、胃酸分泌过多、泌尿道痉挛及多汗症等。口服2.5~5mg,每日3次。不良反应同普鲁本辛,但较轻微。青光眼及前列腺肥大患者禁用。
溴化甲基阿托品 (atropine methylbromide) 又名胃疡平,(mebropine,dropin,tropin)。有较强的解痉及抑制胃酸分泌作用。用于胃及十二指肠溃疡、胃炎、胃肠道痉挛性痛和胃酸分泌过多等。不良反应同普鲁本辛。青光眼及泌尿系统患者禁用。口服一次1~2mg,一日3~4次。


溴化羟苯乙铵 (oxyphenonium bromide) 又名安胃灵,antrenyl。
抑制胃肠活动及胃酸分泌,对中枢也有较明显的抑制作用。主要用于胃及十二指肠溃疡。口服5~10mg,每日三次,饭前服。皮下或肌注1~2mg,每6小时一次。不良反应为口干、排便不畅、头晕、嗜睡及恶心等。青光眼、前列腺肥大及幽门梗阻患者禁用。


甲吡戊痉平(glycopyrrolate) 又名胃长宁,robinul。
抑制胃酸分泌作用较为肯定,解除胃肠道平滑肌痉挛作用则不甚可靠。用于胃及十二指肠溃疡、慢性胃炎及胃酸分泌过多等。口服1~2mg,每日2~3次,饭前及睡前服。不良反应及禁忌证类似普鲁本辛。


双戊胺(diponium bromide) 又名胃欢,unospaston。有较强解痉作用及抑制胃液分泌作用。用于胃及十二指肠溃疡、胃炎、幽门痉挛、胆囊胆道痉挛及泌尿道痉挛等。口服15mg,每日3次。
胃胺(aminopenta-mide sulfate) 又名胃安,centrine。为叔胺类。具有较强的胃肠道解痉作用,也有

胃酸抑制分泌作用。缓解胃肠痉挛的作用迅速,其强度与阿托品相似。用于胃及十二指肠溃疡、急性胃炎、胃酸分泌过多及幽门痉挛等。口服0.5mg,每日3~4次。不良反应类似普鲁本辛,青光眼、前列腺肥大、幽门及十二指肠梗阻患者禁用。
二苯胺乙酯(spasmolytin) 又名解痉素,trasentine。直接松弛平滑肌,解除胃肠道、子宫、输尿管及输胆管等痉挛。其抗胆碱作用较弱,尚具有一定的局部麻醉作用。主要用于胃肠道及胆道和泌尿道痉挛性绞痛。口服每次50~150mg,每日2~3次。直肠给药,每次100mg。不良反应与普鲁本辛相似,但较轻微。一岁以下婴儿对本品特别敏感。


盐酸苯钠嗪(benactyzine hydrochloride) 又名胃复康,胃康乐,suavitil。除具有阿托品样解痉及抑制分泌作用外,尚有中枢安定作用及抗心律失常作用。用于兼有焦虑症的溃疡病、胃酸分泌过多、肠蠕动亢进或膀胱刺激症状患者。口服每次1mg,每日3次。不良反应有口干、头晕、恶心及感觉迟钝等。青光眼患者禁用,驾驶、高空作业及精密仪器操纵等工作者慎用。

☚ 胆碱受体阻断药   东莨菪碱 ☛
00005442
随便看

 

离鸟网收录3541549条中英文词条,其功能与新华字典、现代汉语词典、牛津高阶英汉词典等各类中英文词典类似,基本涵盖了全部常用中英文字词句的读音、释义及用法,是语言学习和写作的有利工具。

 

Copyright © 2004-2024 vtrois.com All Rights Reserved
更新时间:2026/4/7 9:40:45