网站首页  词典首页


请输入您要查询的字词:

 

字词 阿波罗尼斯定理
类别 中英文字词句释义及详细解析
释义
阿波罗尼斯定理

阿波罗尼斯定理aboluonisi dingli

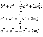
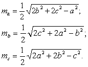
也称帕普斯定理.三角形三边与中线的关系:设a,b,c表示三边长,ma,mb,mc分别表示a,b,c三边上的中线长.则


推出三角形中线长公式:

☚ 三角形的高线长公式   三角形的中线长公式 ☛
00012638
随便看

 

离鸟网收录3541549条中英文词条,其功能与新华字典、现代汉语词典、牛津高阶英汉词典等各类中英文词典类似,基本涵盖了全部常用中英文字词句的读音、释义及用法,是语言学习和写作的有利工具。

 

Copyright © 2004-2024 vtrois.com All Rights Reserved
更新时间:2026/5/25 11:33:22