网站首页  词典首页


请输入您要查询的字词:

 

字词 利倔酸
类别 中英文字词句释义及详细解析
释义 利倔酸

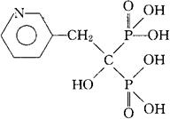
C7H11NO7P2=283.11

CAS-105462-24-6

[1-羟基-2-(3-吡啶基)乙烯基]二膦酸。

[1-Hydroxy-2-(3-pyridyl)ethylidene]diphosphonic acld.

钙调节药。

利司膦酸。

Risedronic Aicd.

INN,USAN.

随便看

 

离鸟网收录3541549条中英文词条,其功能与新华字典、现代汉语词典、牛津高阶英汉词典等各类中英文词典类似,基本涵盖了全部常用中英文字词句的读音、释义及用法,是语言学习和写作的有利工具。

 

Copyright © 2004-2024 vtrois.com All Rights Reserved
更新时间:2026/4/6 18:36:59