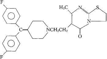
利坦色林
C27H25F2N3OS=477.57 CAS-87051-43-2 6-[2-[4-双(4-氟苯基)亚甲基]-1-哌啶基]乙基]-7-甲基-5H-噻唑并[3,2-a]嘧啶-5-酮。 6-[2-[4-bis(4-Fluorophenyl)methylene]-1-piperidinyl]ethyl]-7-methyl-[1,3]-thiazolo[3,2-a]pyrimidin-5-one. 6-[2-[4-(4,4′-二氟二苯亚甲基)哌啶基]乙基-7-甲基[1,3]噻唑并[3,2-a]嘧啶-5-酮。 6-[2-[4-(4,4′-Difluorobenzhydrylidene-piperidino)ethyl]-7-methyl-5H-thiazolo[3,2-a]pyrimidin-5-one. 5-羟色胺拮抗药。 Ritanserin,R 55,667. INN,BAN,USAN.  |