利巴韦林[中]
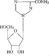
C8H12N4O5=244.21 CAS-36791-04-5 1-β-D-呋喃核糖基-1H-1,2,4-三氮唑-3-甲酰胺。 1-β-D-Ribofuranosyl-1H-1,2,4-triazole-3-carboxamide. 抗病毒药。主要用于单疱性角膜炎、牛痘苗性角膜炎、急性流行性结膜炎、流行性感冒、口腔疱疹及其他病毒性疾病。 三氮唑核苷,病毒唑,酰胺三唑核苷,三唑核苷。 Virazole,Tribavirin,Ribavirin,RTC. 三氮唑核苷含片,三氮唑核苷注射液,三氮唑核苷眼药水,三氮唑核苷眼膏,三氮唑核苷滴鼻液。 INN,BAN,USAN.  |